什么是NFT的稀有度(Rarity)?一般来说,NFT的稀有度包含两个概念:特征稀有度与资产稀有度。特征稀有度:衡量每个特征的出现频率,即拥有该特征在此集合中的占比。例如,特征"Background_Blue"的稀有度得分是10.44%,因为ShortBearClub总数是5000只,其中有522只"Background_Blue"熊。

图1:ShortBearClub的特征稀有度资产稀有度:代表该项资产的总稀有度分数,可用于横向对比与排名。单个NFT的价值通常很大程度上受到稀有度的影响。对于NFT收藏家来说,当他们在考虑购买哪种NFT时,他们希望花费相同数量的ETH带来最大的回报,于是,稀有度成为最重要的参考指标之一。已有的稀有度评分模型
Rarity.Tools稀有度评分
Rarity.Tools是目前使用最广的稀有度评分工具。它的核心计算方式是:将每个特征出现频率的百分比的倒数总值相加。

JAN3首席执行官受邀与墨西哥参议员就墨西哥如何采用加密货币进行讨论:5月1日消息,据Bitcoin Magazine发推表示,JAN3首席执行官、比特币中国前首席运营官Samson Mow于4月29日与墨西哥参议员兼财政委员会主席讨论了关于墨西哥如何采用加密货币墨西哥如何采用加密货币的问题。
据悉,墨西哥是拉丁美洲最大的经济体之一,如果成功采用加密货币,将为整个地区带来深远的影响,对于加密货币市场来说是一个重要的里程碑。[2023/5/1 14:36:45]
图2:rarity.tools的稀有度模型不过,Rarity.Tools在近期调整了它的计算模型,且没有公开披露具体细节。Rarity.Tools是NFTSummer爆发前就有的一款NFT稀有度数据分析工具,它的优势在于计算模型简单易懂。用户可以很直观地看出哪个特征在整体稀有度分数中贡献度更大。但是简单加总法的缺点是可能会高估或低估一项资产的真实稀有度。例如,若某个特征或者特征数量的分数过高,会在一定程度上拉高该NFT的排名,但用户可能对该特征并不是很关注。NFTEXP稀有度评分
在NFTEXP的稀有度计算更为复杂,目前尚未披露。我们只能从NETEXP官网中获得NFTEXP模型的大概思路。以"Chubbies"项目为例,其中两个特征的频率如下:脸部:Blushed,有1053个。发型:Afro,有1110个。
美国国会研究人员:立法者需考虑数字货币立法将如何影响美元:金色财经报道,美国国会研究服务局在其题为“美元作为世界主要储备货币”的报告中称,不断增长的加密货币空间的影响并没有引起任何与美元地位有关的重大担忧。报告承认,尽管“加密货币仍然是一个小而动荡的利基市场”,但中央银行数字货币(CBDC)正在兴起。报告指出,迄今为止,尚无证据表明美元已脱离主要储备货币。但是,国会不妨考虑一下包括制裁和数字货币在内的一系列政策领域的立法将如何影响美元。[2020/12/22 16:03:19]

图3:"Chubbies"项目一览,而一个「Afro」的真实稀有度高于平均水平。NFTEXP的特征稀有度考虑到了特征中类别数的影响。每个特征的出现频率会与平均频率进行比较,相应的调整特征评分。但NFTEXP也存在和Rarity.Tools同样的缺点,会在下一节“异常情况对比”中详细阐述。更合理的稀有度评分模型
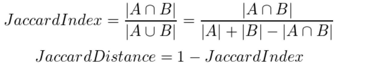
一般来说,稀有的同义词还有特殊、独特。一件事物是否稀有,主要取决于它与群体内其他事物的差异性。差异性越大,代表这件事物更加特殊和罕见。那么,若能量化这件事物与群体内其他事物的综合差异,即能反映出它在群体内的稀有度。NFTGO基于这一原则,研发出一种更科学的方法来评估NFT的稀有度——基于Jaccard距离的稀有度评分方式。什么是Jaccard距离?
直播 | 九妹 > 如何促进区块链产业良性发展:金色财经 · 直播主办的《 币圈 “后浪” 仙女直播周》第4期今晚20:00准时开始,本期“后浪”仙女OKEx大客户商户总监将在直播间聊聊 “如何促进区块链产业良性发展”,感兴趣的朋友扫码移步收听![2020/6/12]
Jaccard距离是一个统计学的方法,用于测试样本集之间的不相似性,范围为从0到1。其数学公式为:

Jaccard距离是一种常见的数据科学测量方法,用于计算对象之间的差异性。其逻辑看起来类似于维恩图,衡量样本集之间的交集大小。如何计算NFTGO稀有度评分?
NFTGO基于Jaccard距离来纯粹地统计NFT特征的相似度。我们以计算BAYC#1154稀有度评分为例:计算#1154与同系列中其他9999个NFT的Jaccard距离计算Jaccard距离的平均值,这就是稀有度分数的初始数据使用极差法处理上一步的数据。极差法的数学公式为:

现场 | 火币集团COO朱嘉伟:区块链是解决三个和尚如何打水的问题:金色财经现场报道,百度智能云Techday11月21日在北京举行。火币集团COO朱嘉伟在会上表示,区块链技术和其他多数技术很不一样,多数技术是解决一个和尚如何打水的问题区块链是解决三个和尚如何打水的问题,因此区块链适用于多方协同的场景,可以促进数据共享、优化业务流程、降低运营成本、提升协同效率以及建设可信体系。[2019/11/21]
4.用上一步得出的z-score乘以100,即为BAYC#1154的最终稀有度分数。然后在一个集合中根据分数进行排名(稀有度分数的范围从0到100),得到该NFT的最终稀有度排名。NFTGO稀有度评分的优势
通过实验对比发现,Rarity.tools和NETEXP的稀有度评分可能会高估或低估一项NFT资产的稀有度,而NFTGO稀有度评分却能在这些异常情况里给出比较合理的结果。下表展示了NFTGO、Rarity.Tools和NFTEXP三种稀有度评分模型,在计算BoredApeYachtClub(BAYC)系列NFT的稀有度排名时的异常情况。

动态 | 会计公司H&R Block推出新服务 就如何正确申报加密货币损益提供咨询:根据9月24日发布的一份新闻稿,美国会计公司H&R Block推出了一项针对从事加密货币交易的人士的新服务,专门就如何在纳税申报单上正确申报加密货币损益提供咨询。(Cointelegraph)[2019/9/25]
表1:各工具稀有度排名结果对比在26个异常值中,前22个猿猴的稀有度评分被Rarity.Tools和NFTEXP高估了,因为“有四个特征属性的猿猴”在总分中占了很大的比例。最后4个猿猴的稀有度评分被Rarity.Tools和NFTEXP低估了,因为“有五个特征属性的猿猴”在总分中占的比例很小。以BAYC#947为例,NFTGO将其排名为#9994,这几乎是最不稀有的猿猴,稀有度为406。然而,Rarity.Tools将它排在第775位,稀有度为168.23。这是因为Rarity.Tools仅将每个特征和特征数进行简单相加(然而它实际没有额外的特殊特征)。如下图所示,这只猴子并无特别的特征。那为什么这只猿猴在Rarity.Tools中排名前10%?很明显,特征数占稀有度分数的比例过高,在168.23的总分中占136.7分。有四个特征属性的猿猴总数为254个,有六个特征属性的猿猴总数为5,323个。根据Rarity.Tools提供的稀有度计算公式,有四个特征属性的猿猴会比有六个特征属性的猿猴相对稀缺,这其实并不太合理。

图4:Rarity.tools针对BAYC#947的稀有度评分细节

图5:NFTGO针对BAYC#947的稀有度评分细节再看BAYC#2832和BAYC#8742,很明显,BAYC#2832的评分应该更高,因为它有多样化的特征。并且,BAYC#8742的最高报价也高于BAYC#2832,因此,购买BAYC#2832是更有利可图的,而Rarity.tools低估了它的稀有度。

图6:Rarity.tools针对BAYC#2832和BAYC#8742的稀有度评分细节

图7:NFTGO针对BAYC#2832的稀有度评分细节

图8:NFTGO针对BAYC#8742的稀有度评分细节图7和图8是NFTGO对BAYC#2832和BAYC#8742的稀有度评分。从页面右侧“特征”视图可以看到,BAYC#2832的各特征属性基本浮动在1%-3%之间,而BAYC#8742特征属性的最低值足有12.42。显然,NFTGO的稀有度评分比Rarity.Tools更加合理。此外,Rarity.Tools和NFTGO对于CryptoPunks的稀有度评分也能反映其准确性的差异。在Rarity.Toolsv2中排名前二十名的Punk,有接近一半是没有特征的。NFTGO对此类Punk的排名更低一些,因为这些零特征的Punk缺乏多样性,理应降低稀有度评分和排名。

图9:Rarity.Tools中排名前21的CryptoPunk

图10:NFTGO中排名前20的CryptoPunks

表2:CryptoPunk的稀有度排名对比(数据:2021年11月2日)综上,与RarityTools和NFTEXP稀有度评分相比,基于Jaccard距离的NFTGO稀有度评分是合理且准确的,您可以将其作为收藏NFT的参考。总结
在购买或出售NFT时,稀有度得分是一种辅助手段。虽然我们使用的稀有度模型在统计学上是正确的,但是不同NFT项目方会给出关于某种属性的更重要的公告。例如CoolCats的官方声明,无檐小便帽或帽子这样的普通物品比电脑头或猿人服装等稀有物品的价值要低。除此之外还有其他方法可以判断NFT资产的价值,如艺术欣赏价值或流动性溢价。再者,也许您更喜欢绿色背景而不是红色背景,这受到了个人主观审美的影响。基于Jaccard距离来计算一项NFT资产的群体性差异,帮助用户发现NFT的群体性综合差异,实际是更本质地量化了“稀有度”这一概念。您已可以在NFTGO上查看所有NFT的稀有度排名和稀有度评分,希望NFTGO稀有度评分能帮助您在购买或出售NFT时做出更合理的决策。若对NFTGO稀有度模型有任何意见或建议,欢迎发送邮件至team@nftgo.io。
如果你在假期间关注了加密Twitter,那么你可能已经注意到了2021年是如何以完美的加密方式结束的,即激烈的辩论。这次不是关于AltL1vsEthereumL2,而是关于Web3的合法性.
1900/1/1 0:00:001月4日,去中心化自治组织LinksDAO宣布已通过NFT销售的形式筹集了共计1050万美元的资金,本次销售共计售出9090个NFT,全程用时约26小时.
1900/1/1 0:00:00如果说几天前,adidas三叶草宣布与BoredApe等知名NFT品牌合作的消息还只是热身的话,那么今天Nike宣布收购RTFKT无异于大餐.
1900/1/1 0:00:00Odaily星球日报译者|Moni 内容概述●Layer1(L1)替代方案越来越受欢迎,主要是因为以太坊网络上高昂的gas费使DeFi相关交易变得越来越贵;●以太坊正试图通过Layer2解决方案.
1900/1/1 0:00:00编译:白泽研究院Web3.0是互联网的去中心化迭代。在区块链上运行的协议、应用程序和社区统称为Web3.0。最先推向市场的应用是去中心化交易所、预测市场、稳定币和区块链游戏.
1900/1/1 0:00:00数据日报是由Odaily星球日报与NFT数据整合平台NFTGO合作的一档栏目,旨在向NFT爱好者与投资者展示近24小时的NFT市场整体规模、交易活跃度、子领域市占比.
1900/1/1 0:00:00