DeFi治理是近期DeFi行业讨论热度最高的话题之一,从Uniswap通过提案为DeFi教育基金资助100万UNI,到Sushiswap提议向部分投资机构以折扣价出售代币,再到前几日Aave上架BOND代币的提案被少数几个巨鲸地址以99%的反对率否决,引起公众对部分DeFi寡头滥用治理权力的担忧。ImmutableCapital合伙人ZaheerEbtikar近日在Deribit博客对DeFi治理过程暴露的问题进行了分析,他认为大部分DeFi协议的治理参与度普遍过低,原因包括参与成本过高、提案过多,此外也存在治理权力过度向代币持有者倾斜,而不是社区主要贡献者的问题,同时也提出了相应的解决思路。作者|ZaheerEbtikar编译|胡韬又到了一年中的那个时候,校园里那个讨厌的孩子在校园到处刷脸,要求你投票。你读了竞选传单上的承诺清单,想知道为什么有人要为这些学生会职位而烦恼。该游戏反对任何形式的治理工作:没有人真正关心做出的决定,除了少数人;真正的权力掌握在少数人手中——教师和行政人员。就像学校政府一样,DeFi治理很大程度上被视为一种诡计,让参与者相信这个过程是民主的。实际上,很多决策通常是由高层做出的,并以牺牲最终用户为代价。一种迫使贵族成为「天使」的制度,通常不具备长期去中心化治理的可行性。01
Fireblocks宣布正在扩展对波场TRON上DeFi 生态系统的访问:据官方最新消息,数字资产和加密货币基础设施平台Fireblocks宣布正在扩展对波场TRON上DeFi 生态系统的访问。
Fireblocks客户现可通过WalletConnect安全地连接到波场TRON上的DApp,包括JustLend DAO和JustStable,并将很快增加对SUN的支持。
此前,Fireblocks旗下专注机构业务的数字资产平台已正式新增对TRX和波场链上所有TRC20代币的支持。Fireblocks 网络上1200 多位流动性合作方、交易机构及交易方可通过波场链安全收发或托管TRX及BTT、JST、NFT等其它TRC20代币。[2023/2/7 11:51:34]
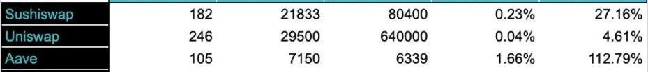
为什么大部分用户没有参与盯着外面的竞选演讲,你意识到大多数人真的不会被校园周围发生的事情所困扰。过多的市政厅是因为你并不真正关心或没有足够的带宽来参加的。就其最简单的形式而言,加密货币与世界其他地区面临着同样的问题,而且主要来自小型政府。绝大多数人根本不会参与,以下数据可以证实:
Terra链上DeFi锁仓量为155.6亿美元:金色财经报道,据DefiLlama数据显示,当前Terra链上DeFi锁仓量为155.6亿美元,在公链中仍排名第2位。目前,锁仓量排名前5的公链分别为以太坊(1190.4亿美元)、Terra(155.6亿美元)、BSC(125.4亿美元)、Avalanche(108.7亿美元)、Fantom(80.2亿美元)。[2022/2/20 10:03:09]

当前协议治理最明显的问题是最终投票者的利益,他们为什么要花时间投票?一般来说,无论是出于经济准则还是道德准则,大多数人都有参与治理的动机。同样,想要获得更好治理结果的协议应该开始考虑积极的方法来激励良好的治理。简单的解决方案包括使用少量的代币金库来激励协议的专门成员对关键事项进行投票,并有助于找到理解新提案的有意义的方法。关于协议决议的主要问题之一来自大量提案的执行不力。任何参与治理的人的好处是他们都可以提议对核心协议的功能进行更改。由此产生的问题是,无意义的和有趣的提案混杂在无休止的治理提案中,最后有太多的提案让大多数人关心它们。相反,让受激励的成员达到新提案的法定人数并筛选决议清单可能是有益的。最后,Gas成本和较小用户的问题。一般来说,代币创始人和DAO应该尽可能地将最小参与者的进入障碍降至最低,这包括Gas交易成本。在基础层面,创始人可以通过使用部分代币资金来激励良好治理,为低于特定阈值的委托人补贴Gas费用。02
Robinhood Crypto暗示或增加NFT和DeFi功能:金色财经报道,Robinhood Crypto首席运营官Christine Brown早前曾表示Robinhood正在考虑质押、借贷和其他DeFi工具。上周,首席技术官Johann Kerbrat做出了同样的暗示:关于路线图,我们还不能透露太多,但质押是一项很令人激动的服务。我们一直在说通胀在加剧,储蓄账户收益近乎于零,对于很多人来说,质押可能是一件非常有趣的事情。
Brown在同一场合也暗示,如果消费者需求有保障,Robinhood还有望增加NFT交易服务。她说:如果你想在不收取佣金的情况下获得代币,然后获得NFT,我们会支持这一点。
此前报道,Robinhood将于10月在其应用程序上推出数字钱包试点,并于明年初全面推出。(Decrypt)[2021/9/27 17:08:50]
寡头
Polygon、0x提供1050万美元以推动以太坊DeFi开发者:金色财经报道,去中心化交换协议0x和以太坊可扩展性平台Polygon背后的团队今天宣布,他们将斥资1050万美元以使更多用户使用Polygon网络。该资金旨在使开发人员更容易通过以太坊在Polygon上构建DeFi基础设施。[2021/6/11 23:29:07]
寡头和贵族的治理形式似乎是原始政府最常见的自然形式之一。平民应该将他们的声音转移给精英和知识渊博的人的想法在任何社会中都是一个有吸引力的想法,但很少会为大多数人带来更好的结果。DeFi也不例外。与任何新领域一样,早期的DeFi大部分都是由希望支持新形式金融技术的风险投资家发起的。但伴随着DeFi的成长和发展,出现了一些关于协议真正去中心化的结构性问题,主要是因为它们无法进行连贯的治理,最终不会像卡特尔一样运作。在DeFi中,治理通常以投票方式进行,提案必须达到一定的投票门槛才能通过。这些投票通常由代币所有权分配。一个实体持有的代币越多,它拥有的选票就越多,从而有更强的影响力。在纸面上,这似乎是标准的民主。但这个简单的机制包含了DeFi治理萎靡不振的种子。代币和开发流程如下:
聚币Jubi DeFi将于9月25日上线一键挖矿FLM:据官方消息,聚币Jubi DeFi板块将于9月25日上线一键0成本无损挖矿FLM(Flamingo),用户可在聚币Ju.com使用JT、NEO、BTC、ETH、USDT、ONT 一键挖矿FLM。本次挖矿属于无损挖矿,聚币承担由于交易及链上费用带来的磨损。挖矿无需KYC,所有用户均可参与。
Flamingo是一个基于Neo的互操作性全栈DeFi协议,主要由五个模块组成,包括跨链资产网关—Wrapper,链上资产流动性交易所—Swap,一站式资管中心—Vault,基于AMM的永续合约交易平台—Perp,以及去中心化治理机制—DAO。FLM是Flamingo的治理通证,将基于Flamingo项目参与者的贡献度进行100%分配,无任何的预售、预挖及团队分配。[2020/9/23]

现在这不适用于所有代币,但通常代币会转移到拥有最多资源的实体手中。问题是这个过程通常会扼杀最小的用户,即使他们可能会发现协议或项目最有用。这个问题的一个简单解决方案是Compound用他们的投票委托给治理家创造的产品。这里的想法是,社区可以将他们的选票委托给某些代表他们行事以进行治理的家,而较小的用户可以集中他们的选票。问题是,在当今世界,Compound的治理仍然在很大程度上反映了一个非常重的选民阶层,其中最大的5个持有者中有4个是风险投资家。

问题在于,该措施仍然没有积极地让小型协议用户很容易地团结在少数用户之后,并且仍然导致少数用户拥有大量投票权。有趣的是,在一些治理结构中,代币的大持有者仍然不参与治理论坛,这使得大量选票变得无用或容易被其他用户在有争议的提案中左右。总的来说,这个过程疏远了大多数用户,而牺牲了那些「in」的用户。03
贡献证明
协议不应专注于最大的代币持有者,而应寻求所谓的奉献证明,但该术语不应作为一种共识机制,而应适用于治理权重。从理论上讲,治理的结构应该既关注社区参与度最高的主要用户,也关注最大的代币持有者。一个简单的机制可能是治理可以通过代币分配进行拆分,而是像多类股票一样发行,其中所有权和投票权不是平均分配的。这个过程可以通过这样一种方式来完成,即限制投票权稀释大型不活跃参与者,并为新提案优先考虑较小投票集团的最低限度。除此之外,协议可以利用其最长的持有者/利益相关者来获得或多或少的投票代币/信用,以激励长期参与者更认真地对待治理问题。04
结论
DeFi仍处于起步阶段,是我们生态系统中刚刚起步的一部分,它已逐渐满足其大部分需求和使用。在此过程中,治理和人民参与等挑战是可预期的,也是显着增长的标志。如果该行业能够采取足够的措施来创建一个简化的提案和变更流程,降低小型参与者的进入门槛,并激励更广泛的生态系统参与其协议的治理,那么我们很可能会看到一个完全变革的系统实现去中心化自主决策。
标签:DEFDEFIEFIHOOD比特令牌币defi3.0defibox币有价值吗一直跌defiai币被盗RobinHoodProtocol
本文来自Nansen,原文作者:LingYoungLoonOdaily星球日报译者|Moni“古往今来,货币有多种形式,但始终具有三种功能:价值储存、记账单位和交换媒介.
1900/1/1 0:00:00编译:0x13,律动BlockBeatsNFT在这个夏天彻底爆发,这一次的爆发不是因为昂贵而小众的加密艺术品,而是那无数个发售价不到0.1ETH的盲盒们.
1900/1/1 0:00:00Odaily星球日报译者|Moni 在一个“消费者跳过广告商付费”的时代里,全球品牌正在重新构想如何吸引消费者——现在,元宇宙和NFT来到到品牌商的眼前.
1900/1/1 0:00:00经Odaily星球日报不完全统计,7月12日-7月18日当周公布的海内外区块链融资事件共33起,较前一周显著增加;已披露融资总额约4.21亿美元,较前一周有所提升.
1900/1/1 0:00:00来源:蓝贝壳学院作者:Rachel2020年夏天DeFi迎来爆发式增长势头,生态的繁荣让作为DeFi主战场的以太坊在这场去中心化金融革新浪潮下登上新高度,2017年曾出现的拥堵等问题再次暴露.
1900/1/1 0:00:00作者|秦晓峰编辑|Mandy出品|Odaily星球日报 以去年兴盛的DeFi运动为分界线,加密市场交易支付载体的话语权开始逐渐转移.
1900/1/1 0:00:00