
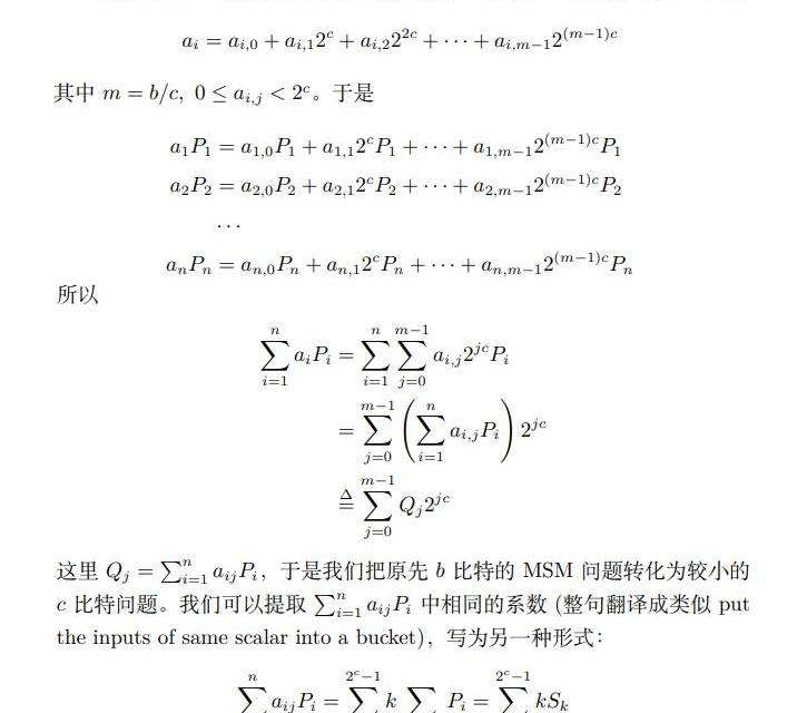
1、基于窗口方法的优化
   
   
HashKey相关地址一小时前向Gate.io转入超4万枚MULTI:金色财经报道,据Lookonchain数据监测,HashKey相关地址一小时前向Gate.io转入43928枚 MULTI,价值约24.7万美元。[2023/5/24 22:15:12]
   
Multichain宣布跨链消息传递协议anyCall正式上线:官方消息, Multichain宣布,Dapp通用跨链消息传递协议anyCall正式上线。只需一笔交易, anyCall就可以将任意数据,如智能合约、NFT、消息、代币、数据等发送到任何其他区块链。[2022/4/11 14:18:04]
2、基于群自同态的优化
对于有限域Fp上的椭圆曲线y2=x3+ax+b上的循环群G,如果能找到这样的群自同态φ:存在α,β∈Fp,使得φ(x,y)=(αx,βy)对G上的所有点成立。容易证明这样的自同态是一个乘法映射,即能找到一个λ使得φ(P)=λP对所有G上的点P成立,这意味着当我们知道了一个点的坐标后,只需对横纵坐标乘上一个Fp中的数就能变成另一个点的坐标,这个重要的性质可以对算法进行进一步的优化。
Parity开发者:OpenEthereum和MultiGeth是支持ETC时间最长的客户端:7月23日,Parity开发者Wei Tang发推文称,一个很小但有趣的事实是,OpenEthereum和MultiGeth是两个支持ETC时间最长的客户端。其中,OpenEthereum是4年,MultiGeth为2年。其他客户端支持ETC的时间都没有超过一年。其中,Hyperledger Besu从去年9月开始支持ETC,CoreGeth在今年春天开始从MultiGeth分离出来支持ETC,OpenETC则是刚刚开始支持ETC。(注:7月22日,ETC官方宣布OpenEthereum已被分离并命名为OpenETC。)此前7月17日消息,Wei Tang发推称,OpenEthereum、MultiGeth宣布停止支持ETC。原因是在Phoenix硬分叉后,ETC网络放弃了遵循最大共识和用户选择的不变性原则。而随后这一说法遭到ETC亚太社区经理反驳,并称停止支持的原因是OpenEthereum维护者Gnosis希望将其有限的精力投入到以太坊主网开发中。随后,CoreGeth作为ETC Core官方维护客户端继续服务于ETC网络。[2020/7/23]
   
   
参考文献
FrancescoSica,MathieuCiet,andJean-JacquesQuisquater.Analysisof\nthegallant-lambert-vanstonemethodbasedonefficientendomorphisms:\nEllipticandhyperellipticcurves.InInternationalWorkshoponSelected\nAreasinCryptography,pages21–36.Springer,2002.
关于我们
Sin7y成立于2021年,由顶尖的区块链开发者组成。我们既是项目孵化器也是区块链技术研究团队,探索EVM、Layer2、跨链、隐私计算、自主支付解决方案等最重要和最前沿的技术。
微信公众号:Sin7Y
GitHub|Twitter|Telegram|Medium|Mirror|HackMD|HackerNoon
日本娱乐公司和视频游戏开发商SquareEnix公开了其NFT计划。与此同时,微软旗下的电脑游戏《我的世界》禁止在其平台上使用NFT.
1900/1/1 0:00:00据官方消息,Wintermute已正式成为TRX官方做市商和整个波场TRON生态系统战略合作伙伴。Wintermute将为各大交易所的主要TRX交易对提供流动性,并为波场生态建设贡献力量.
1900/1/1 0:00:00一、项目背景由来Aptos项目最初源自于Facebook的Libra项目,Libra原本的目标是构建一个世界通用由法币背书的稳定币项目,目标是成为世界货币.
1900/1/1 0:00:00TetherCTO:Terra生态系统设置是其崩盘的主要催化剂6月8日消息,Tether首席技术官PaoloArdoino认为Terra生态系统设置为其崩盘背后的主要催化剂.
1900/1/1 0:00:00Polkadot生态研究院出品,必属精品波卡一周观察,是我们针对波卡整个生态在上一周所发生的事情的一个梳理,同时也会以白话的形式分享一些我们对这些事件的观察.
1900/1/1 0:00:00声明:本文仅作为行业研究探讨,不代表任何投资建议。市场前瞻 2022年7月13日,美元和欧元的汇率达到了1:1,这无疑是见证历史的一刻.
1900/1/1 0:00:00