
近期Kucoin被盗,okex不能提币事件中,也已经充分暴露出中心化交易所的风险。
脆弱的中心化的交易所:
1.技术风险
服务器软件漏洞、配置不当、DDoS攻击、服务端Web程序漏洞、办公电脑安全问题、内部人员攻击等。很多交易所没有灾备级系统认证,在发生火灾、地震、洪水时投资者数据一旦丢失,万劫不复。
2.道德风险
中心化交易所的资产托管并没有使用区块链技术,不具备不可篡改、可溯源的特性,用户需要先把资金转入到交易所开辟的专门账户中,用户对自己的资产没有控制权。
中心化交易所信息不透明、不对称,加之主体权益不一致,很容易发生交易所内部人员做出不利于其他投资者的行为。
3.法律风险
各个交易所以及相关人员在经营相关业务中,违反国家法律、行政法规和相关市场监管部门规定,从而受到法律的制裁而使交易所遭受损失。
DeFIL2.0 TVL突破1.67亿美金:据最新消息,截至目前,DeFIL2.0平台总锁定价值(TVL)已突破1.67亿美金,借款总金额近5000万美金。同时,Uniswap上DFL-USDT LP流动池资金量已超过1150万美金,排名全球第56位。据悉,DeFIL2.0将于8月23日正式上线FIL永续标准算力通证FILST,FILST可流通,挖矿产出高于传统算力。[2021/8/18 22:21:29]
交易所违反监管规定和原则而招致法律诉讼或者监管处罚,进而不利于交易所正常运营的风险。
由于法律或监管规定的变化,影响交易所正常运营或削弱其竞争力、生存能力的风险。
保险的刚需:任何DeFi协议或者是交易所都是需要保险
最终来说,绝大多数的DeFi协议和中心化交易所都会将保险服务看作为协议服务的重要组成。唯有这样,才能真正解决用户的后顾之忧。
保险其实本质是在于风险对冲,最大化的弥补风险事件所带来的各种损失。
保险赛道的新机遇:DeFi协议和中心化交易所
这种未来的可能性,对于保险赛道的项目来说,意味着巨大的机会。越来越多的中心化交易所为了吸引用户,增强护城河,会将其收益的一部分置入保险市场,这意味着保险需求的增加,保费收益规模的增长。
欧易OKEx DeFi播报:DeFi总市值1098.10亿美元,欧易OKEx平台SUN领涨:据欧易OKEx统计,DeFi项目当前总市值为1098.10亿美元,总锁仓量为613.90亿美元;
行情方面,今日DeFi代币普涨,欧易OKEx平台DeFi币种涨幅最大前三位分别是SUN、TRB、COVER;
截至18:30,OKEx平台热门DeFi币种如下:[2021/3/22 19:07:40]
此外,考虑到DeFi保险市场的更好的透明度和更好的流动性,DeFi相对于传统行业的保险市场会有更高的渗透率。
下面我们介绍一下首个针对交易所被盗、倒闭、跑路等各种风险事件的:交易所信用CDS保险。
同时,INS3技术开发团队还推出了保险范围为CeFi、DeFi、稳定币、IPFS云算力的DeFi保险产品,以迎合市场需求。
竞品分析之1:超强保单流动性----CDStoken
与NXM保险不同,INS3的保单是CDS概念标准的ERC777代币,可以在任意地方进行交易,客户也可在任何时候可以退保。
此外,客户将INS3将保单与USDT存在Moonswap以及Uniswap从而为保单CDStoken提供流动性,获取LP,将LPtoken存入INS3即可以获得INS3的代币奖励。
库币DeFi专区项目AMPL 24h涨幅超72.1%:据库币KuCoin交易所DeFi专区行情显示,AMPL 24h涨幅超72.1% 现报价1.145USDT。据悉Ampleforth将于9月10日开启第二轮挖矿计划Ampleforth Geyser Beehive 2,将提供总供应量的 1%的 AMPL 代币奖励池,持续 3 个月时间。AMPL是最早上线库币的DeFi项目之一,非小号数据显示,目前AMPL全球交易量中,库币占比42.26%,是AMPL最主要的交易所。[2020/9/10]

竞品分析之2:多种精算与保费模型组合
与NXM将保费与staking金额挂钩,利用staking的预期来为项目违约率进行定价的单一方式不同,INS3采用预期模型、KMV模型与自主链上评分卡三者结合的精算模型来确定保费。
先来介绍其中的KMV模型模型。
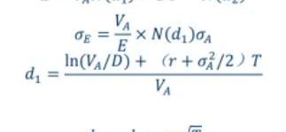
信用险的保费定价=保额×(无风险利率+违约率)。我们借鉴了美国成熟债券市场中的DRSK模型。根据KMV模型,
DeFi项目Curve被指创始人控制71%投票权:yEarn创始人Andre Cronje在推特指出去中心化交易所Curve Finance“治理投票毫无意义”,因为前者创始人Michael Egorov控制了协议上71%的投票权。据悉,Curve安排在本月28日进行下一轮治理投票,而Michael Egorov的投票权现已下降至50%。[2020/8/25]

其中,V为公司资产价值,μ为资产价值漂移率,δ为其波动率,dW为标准维纳过程。
假设债务期限为T,公司股权价值为E、负债为D,无风险利率为r,根据期权定价理论,

由此计算违约距离DD:

数据:以太坊活跃地址突破50万,新用户主要源于DeFi和流动性挖矿热潮:Portal Network创始人Christopher Shen援引Messari数据称,以太坊活跃地址数量突破50万。这波新用户主要被DeFi和收益耕种吸引而来,和2017年不同,他们被激励学习使用智能合约,Metamask不仅仅被用作发送代币给ICO,以及DApp确实有用例,可被用于DeFi。[2020/7/27]
并估算最佳违约点参数:

其中,α为短期借款乘数,SD为公司短期借款,β为长期借款乘数,LD为长期借款。
在实践中,我们将DeFi的锁仓量以及交易所的公开热钱包存币量作为债务,平台币或者项目治理代币的波动率作为波动率,建立和目前项目风险之间的映射关系。
在模拟实践中,INS3版本的KMV模型提前预测了9月13日的BZRX的被盗事件,在被盗前夕将预计保费由4.62%调升至13.66%。

再来介绍评分卡模型。INS3团队借鉴defiscore的模型针对每个defi项目的链上信息制作了评分卡模型:

其中,智能合约风险权重占45%,抵押物风险占20%,流动性风险占10%,协议管理权风险占12.5%,预言机风险占12.5%。
通过评分卡,Defi项目的质量将更为量化,并反映在保费上。
INS3的精算模型融合预期模型、KMV模型以及评分卡模型进行精算定价,精细程度、精算的稳定性和准确性,相比NXM均有所提高。
竞品分析之3:Staking&NFT
如果客户想获取稳定收益,可以参与INS3的staking来参与承保。与NXM强制质押90天不一样,INS3的staking资本是一个NFT,可以在NFT交易平台上自由转让。
如果不想转让,在资本充足率充足的情况下,staking资本可以随时退出。如果资本充足率不充足,客户可以注销保单退出,像Kucoin保单一天保费涨幅达到321%的情况,注销保单还可获得盈利。

参与staking可获取70%的保费分成,如果在5-10倍杠杆下,可获取年化15%~350%的保费收入。

同时,参与staking还可以获得INS3的代币奖励。

竞品分析之4:投资模式
INS3团队目前是市场最大的DeFi清算团队以及中心化和去中心化套利者之一,staking的资本会用于参与Dex和Cex之间的套利,从而实现staking资本的保值增值,盘活staking资本。
竞品分析之5:预言机
与NXM采用董事会初审+社区复审的形式来决定是否赔付的中心化的方式不同,INS3采用自建预言机的模式,任何人都通过API来判断行情是否正确、资产是否安全、是否能提币等原创综合算法,从而判断交易所是否出现安全事件。参与认证是一种行为挖矿,可以获得挖矿奖励。

竞品分析之6:总结
INS3更具竞争力的:资本模型,投资模型,保险精算定价模型,相对NXM和Yinsure在去中心化程度和保险范围上做了重大升级。

INS3与Web3.0对应,延续传统保险1.0和互联网保险2.0的演进路线,将保险带入区块链和智能合约托管的3.0时代。
将资本进行代币化,代表着可不借助股票或者债券等金融工具就直接投资“保险公司”,并可以退出和交易。由此,一个“可装卸”、“可编程”的“保险公司”出现了,这是区块链带来的生产关系进步。
INS3的全球团队,凭借技术开发功底和保险精算领域经验,通过了Conflux社区生态基金会的审核并获得其资助,预计将于12月30日上线第一只保险产品:交易所信用CDS保险。
INS3希望以DeFi+NFT+预言机+跨链的模式为去中心化保险生态带来创新。
前几天看到某交易所出现了BTC千倍合约,这真是天下之大无奇不有,蚂Y科技把自己的金融杠杆放大到百倍以上,花了无数的精力和时间,然后被打下来.
1900/1/1 0:00:00最近沟通的朋友都有一个共性对于一些在市场上已经亏损的不行,但是最后依旧在坚持着自己的做法不去改变,很多人在别人眼里,看起来总是怪怪的,曾经我碰到一个交易爱好者,我认为自己已经入魔,但看看人家.
1900/1/1 0:00:00昨日开盘时趁着前日大涨的余韵,继续向上冲击了一波,可是并没有突破16000整数关口便开始回调,回调持续到今日凌晨,最低时触及15180附近,800点左右幅度的回调,随后反弹.
1900/1/1 0:00:00下面是近期大家留言的一些解答,分析只是我个人的理解,不作为直接投资建议!大家有疑问可以留言,或者私发我微信上,因为精力有限,就不一对一回复,我集中整理后,下次在文章里统一分析解答.
1900/1/1 0:00:00据官方消息,Conflux公链两大生态项目MoonSwap与ConDragon就生态首款DeFi+NFT+RPGGame达成战略合作.
1900/1/1 0:00:00大饼日线图上,价格在隔日走出新高后有所回落,回落的力度相对之前走势而言较弱,指标系统是有回落需求的,在这种强势的氛围之下,我们可以将其看做是一个指标修复的过程,在这个过程中.
1900/1/1 0:00:00