
1月15日比原链发布了《MOV稳定金融体系白皮书》,首创了三级清算体系并引入风险债券的清算方式、全天候风险度量体以及基于马尔科夫链的风险评级模型。与此同时团队还发起了《比原链MOV稳定金融体系白皮书解读》活动,得到了社区粉丝踊跃参加,本文由粉丝gentledog发布的文章整理而成。
MOV白皮书中提到基于四种因子C、R、P、T进行干预和宏观调控,分别代表抵押资产和信用、风险干涉、稳定币价格、稳定币流通量,并有公式CR=PT。这里C、P、T都容易理解并能够作量化,然而风险干涉R并不直观,白皮书中也没有给出明确的定义。我查阅了一些资料,也没有找到这个公式的出处,实在令人费解。这里我按照自己的理解,建立模型并给出了风险干涉R的量化标准,并试图解释该公式的合理性。
Brown运动
记

为Brown运动。记

为Brown运动首次击中

的时刻,即

一组独立的Brown运动及首次击中

的时刻可记为

和
MtGox前CEO:从MtGox钱包发送到1Feex地址的近8万枚BTC属于未经授权的转移:金色财经报道,MtGox交易所前首席执行官Mark Karpeles发推称,2011年3 月1日发送到1Feex地址的79956.55枚比特币是在未经适当授权的情况下从 MtGox 原来的 bitcoind 钱包转移的,并且被视为属于 MtGox 财产的被盗财产,旨在为 MtGox 债权人谋取利益。因此他暗示,无论谁声称拥有该地址中的资金,都必须完全利用该交易平台。
该声明引发了MtGox债权人索赔的另一个谜团,该谜团目前尚未解决。目前尚不清楚是否可以提出任何额外索赔,将这8万比特币添加到MtGox债权人可索赔的代币中,这些比特币的总价值为2,306,044,800美元,这个数字可以对债权人带来全面的影响。[2023/8/2 16:12:31]

,这里

定理1
常数A,B>0,


证明见相关教科书。
记

为Brown运动第

次击中

某钓鱼地址在7小时前从Multichain收到1020万枚USDT后将其兑换为5434枚ETH:7月10日消息,据Lookonchain监测,钓鱼地址Fake_Phishing183873在7小时前从Multichain:anyUSDT代币地址收到1020万枚USDT,并以1878美元价格将其兑换成5434枚ETH。该地址昨日也从Multichain:anyWBTC代币地址收到67.76枚WBTC(约205万美元)。[2023/7/10 10:45:33]
的时刻。
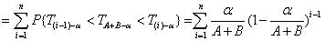
定理2
常数A,B>0,


证:由Brown运动的Markov性可知,
在时间段

内的Brown运动相互独立。
不妨将

替换为一组独立变量

满足条件

。
于是,


V神:有计划将主节点从Moria矿区转移到Cirith Ungol:金色财经报道,以太坊创始人V神在推特中做你问我答节目,在回答以太坊核心开发者、EIP-1559联合作者eric.eth关于ETH 2.0的相关问题时,V神表示,是的,有一个计划是将主节点从Moria矿区转移到Cirith Ungol,但不幸的是,这个计划被推迟了,因为莫里亚仍然有14天的隔离期。[2021/9/2 22:54:14]

(根据独立性)


另一式同理可证。
带屏障的Brown运动
定义1
设常数

,充分小的

为这样一种运动:
1、当

在

上时,作Brown运动;
2、在某一时刻

处恰好
95枚BTC从MtGox冷钱包转出:10 月 8 日,Whale Alert 数据显示,95 枚 BTC 从 MtGox 冷钱包转出到未知钱包地址。[2020/10/8]

时,

瞬间减小

,同时产生了一个负冲击,冲击量为

;
3、在某一时刻

处恰好

时,

瞬间增加

,同时产生了一个正冲击,冲击量为

;
则称

央行范一飞:从M0的管理规则来看,数字人民币的发行和流通要按照现金进行规范管理:央行副行长范一飞撰文称,数字人民币具有法偿性。数字人民币主要定位于M0 ,需遵守《中国人民银行法》、《人民币管理条例》等与现钞管理相关的法律法规。按照人民币的法偿性规定,以数字人民币支付我国境内一切公共和私人债务,任何单位和个人在具备接收条件的情况下不得拒收。数字人民币也要遵守大额现金管理及反、反恐融资等法律法规。比如,按照人民银行《关于开展大额现金管理试点的通知》,为配合反相关工作,试点地区的数字人民币也要进行大额存取现登记,相关机构应就数字人民币的大额及可疑交易向央行报告。(新浪)[2020/9/14]
为以

为上屏障、以

为下屏障的Brown运动。
定义2
假设在某一时刻

时

,设在时刻

到时刻

之后第一次击中A之前产生
的正冲击之和为

(包括时刻

处产生的冲击),
其分布函数

。
相应的,可以定义负冲击之和

及其分布函数

。
易知,



令

,有

当

时,

由此可以得到

时的正冲击量之和

及其分布函数为

其概率密度函数为

,
其期望值为

,
下面讲冲击时,均默认为

的情形。
建模和分析
假设稳定币价格在未作干预时作几何Brown运动,稳定币运营商在

处挂买
单,在

处挂卖单,在时刻t时的价格为

。
对价格取对数,假设

,
为以

为上屏障、
以

为下屏障的Brown运动,
这里

为常数。
由上一节内容,可以相应地定义正冲击量之和

及其分布函数

。
定义3
风险干涉

易知,

。
举例和解释
风险干涉R表示稳定币运营商在遭遇每一波稳定币抛售时受到的平均资金压力。
举个例子,假设市场上有1000万个面值为1元的稳定币,稳定币运营商手中可动用资金仅有700万元,如果将所有资金都用于回购稳定币,那么仅能回购70%。为了保证系统的绝对稳定性,一个合理的做法是,运营商在1元处挂卖单、0.7元处挂买单。此时,运营商在每一波稳定币抛售时遭遇的平均资金压力为1/0.7=1.42857倍。
标签:ROWBROOWN稳定币growth Root TokenBrotherNEWTOWN GAMING稳定币和代币的区别是什么
新年伊始,伊朗二号人物、“圣城旅”最高领袖卡西姆·苏莱曼尼于1月3日被美国军队击杀;然而只过了短短三天.
1900/1/1 0:00:00昨日晚,美联储月内第二次紧急降息,并开启7000亿美元量化宽松计划,但美股并不买账,全球资本恐慌情绪不散。受消息影响比特币向上插针,但今日跌破支撑,短时继续下探.
1900/1/1 0:00:00回顾昨日的BTC行情,凌晨的持续几个小时后,在早上7点左右开始有了上涨的趋势,大阳线的插入,收割了不少空军.
1900/1/1 0:00:00行情回顾比特币今日凌晨走势持续在7100附近窄幅区间震荡调整,市场量能收缩,多空双方进入观望阶段;昨日走势不断向下试探低点,早间8时更是下跌至7011位置,连续压迫没能打破7000整点支撑.
1900/1/1 0:00:00摘要:近日,大盘整体缩量下行,山寨币的回落幅度较大,市场避险情绪有所增加,短时变盘的可能性增加.
1900/1/1 0:00:00头条区块链技术国家标准正在制定,预计最快2019年底完成据经济参考报报道,我国已着手建立区块链国家标准,以从顶层设计推动区块链标准体系建设,预计最快将于2019年底完成.
1900/1/1 0:00:00