作者:Chloe,IOSG Ventures
自五月Terra爆雷导致的一系列连锁反应,到七月末美联储加息,加密行业在受到连续的冲击后陷入了暂时的沉寂。二级市场上,BTC价格回落到两万美金左右,与17年牛市的高点基本持平。一级市场也趋于冷静,项目的数量和估值明显下降,基金出手的频率也随之放缓。就连Telegram上面的一直非常热闹的加密社群,成员们也从一分钟发几百条消息讨论市场变成了日常吹吹牛,发发美女图片。在这个熊市,大家都变得”佛系“起来。
NFT市场同样也不例外,蓝筹NFT的地板价出现了较大幅的下降。同时,OpenSea的8月交易量不到五亿美元,创一年以来的新低。尽管如此,面对低迷的市场行情,作为加密基金两大风向标的Paradigm和A16Z没“佛”起来,纷纷在近期围绕着NFT定价、版权等议题发文。8月31日,A16Z发表了“The Can’t Be Evil NFT Licenses”,界定了NFT六大版权类别。Paradigm分别在8月24日和9月6日发表了VRGDAs和GOO,对NFT的创新拍卖机制和社区价值进行了讨论。本文将着重为读者介绍这三种围绕着NFT构建的新标准和机制。

图片来源:https://dune.com/PierreYves_Gendron/opensea---metrics
Paradigm—VRGDAs
概念:VRGDA是NFT的新拍卖机制,适用于非线性释放的欠缺流动性的资产
逻辑:NFT发行方可以利用VRGDA,自定义NFT除一次性释放或线性释放以外的拍卖时间表。并且通过价格的动态调整拟合时间表
意义:使创作者,而不是矿工获得更多消费者剩余;平缓并延长NFT项目的生命周期
VRGDAs,英文全称是Variable Rate Gradual Dutch Auctions,是Paradigm提出的NFT拍卖新机制。在讨论VRGDA之前,我们先来看看GDA的概念。GDA的中文是渐进式荷兰拍卖,顾名思义,其工作原理就是将一笔拍卖分解成一系列的荷兰拍卖(注:荷兰拍卖是一种常用的拍卖机制,拍卖品会从一个高要价开始竞拍,然后逐渐减低价格,直至买家愿意接受)。因为不依赖于市场流动性而销售,GDA尤其适合应用于欠缺流动性的资产。
稳定币协议Lybra Finance TVL接近1 亿美元:金色财经报道,LSD稳定币协议Lybra Finance锁定总价值 (TVL) 在过去两周内飙升近 400%,截至周五接近 1 亿美元。CoinGecko 数据显示,LBR 是 Lybra Finance的原生代币,在过去 24 小时内上涨了 33.8%,在过去 7 天内上涨了 173%,达到 2.23 美元。[2023/5/27 9:45:17]
VRGDA是GDA的衍生,它允许NFT发行方制定一个拍卖时间表,比如每天售卖100个NFT,或者每天比前一天少售卖十个NFT等。NFT的生命周期和Gartner Hype Cycle(技术成熟度曲线)十分类似。NFT在初期没有太多声量时价格很低,获得社群和知名度之后价格暴涨,随后因为热潮过去价格疯狂下跌。大部分NFT项目会归零,而极少数获得共识的NFT能够存活下来,并且逐渐稳定在一个市场均衡价格。

图片来源:wikipedia-Gartner hype cycle
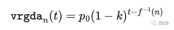
那么VRGDA如何通过拍卖机制延长NFT的周期呢?Paradigm给出了这样一个函数:

其中P0是NFT目标价格;k是没有达到预期销量时NFT价格的衰变因子,f(t)是时间表,在t时间点预期卖出n个NFT。通过代入不同的f(t),我们能得到不同的销售机制。Paradigm在文中仅讨论了三种情况,不过理论上任何形式的时间表都可以被实现。如果发行方选择以恒定的速度线性释放NFT,比如每天释放10个,这就是简单的GDA。如果发行方期望随着时间来调整发行的数量,则需要VRGDA。比如发行方要发行一个无限供应的NFT,并且预计在发行之初能制造更多的热度,因此计划在早期释放更多的NFT,随着时间的推移,释放的NFT数量递减,那么可以选择开方函数代入。如果发行方想在早期更加激进的释放NFT,且不希望NFT无限通胀,那么可以选择对数函数来实现。
前ENS基金会董事:此次熊市是对治理代币模型的一次重要压力测试:金色财经报道,前ENS基金会董事Brantly Millegan在社交媒体上称,此次熊市是对治理代币模型的一次重要压力测试。价格暴跌是否会导致足够多的小农户向大买家出售商品,从而导致控制权的集中化?提醒一下,许多 DAO 的金库仍然非常庞大。对于持续存在的主要协议,这个熊市可能是他们的治理代币价格最低的时候。无论是好是坏,最终都可能成为权力更迭的历史性时刻,并在未来几年产生持久影响。我们拭目以待。
金色财经此前报道,ENS基金会董事Brantly Millegan将辞去其职务,根据Brantly给ENS基金会的通知,他的辞职将在任命新董事后生效。[2023/5/26 10:40:44]

图片来源:https://www.paradigm.xyz/2022/08/vrgda
当拥有了预期的时间表后,第二步就是通过价格的动态调整来拟合预期的时间表。这里应用了经济学中最基础的需求理论:商品的价格上升,需求减少;商品的价格下降,需求增加。因此我们可以通过调整k来调整NFT的价格,如果销量高于预期,那么抬高NFT的价格来控制过剩的需求;如果销量低于预期,那么降低NFT的价格来刺激需求。通过干预价格来拟合预期的时间表。
采用VRGDA之后的好处是什么呢?最直接的就是创作者而不是矿工能够获取更多利润。如果发行方能够调整每天发行的NFT总量,就不会出现一次性发行引起的gas战争,让很大一部分消费者剩余进了矿工的腰包。其次,这种发行方式还能够使NFT的生命周期更加平缓,避免价格暴涨暴跌。同时一定程度上延长NFT的生命周期。
Paradigm—GOO
概念:GOO是针对发token的NFT社区的所有权的一种优化方式
Lookonchain:某聪明钱地址分别在PEPE获得36倍收益、在LADYS获得35倍收益:金色财经报道,Lookonchain监测数据显示,0xf94c开头的聪明钱地址在PEPE获得36倍收益,在LADYS获得35倍收益。
4月18日,该地址以3.63枚ETH买入1080亿美元PEPE,买入价格为0.00000006965美元,并在4月30日,5月6日和5月6日以135枚ETH出售,平均售价为0.000002358美元。利润为131 ETH,收益为36倍。
在马斯克发推文之前,该地址以4.7枚ETH购买2.15T枚的LADYS,购买价格为0.000000004035美元。然后以0.0000001404美元的价格以84枚ETH的价格卖出1.09T枚LADYS,目前仍持有1.06T枚LADYS。利润是30.2万美元,收益是35倍。[2023/5/11 14:57:28]
逻辑:通过token的高通胀来实现资产的强制锁仓,并且通过绑定NFT和token增发的关系以绑定NFT持有者和token持有者两个群体
意义:让NFT持有者和token持有者两个群体尽量保持重合对于项目有很大意义,但是通过高通胀的方式来实现并不具有很强的可持续性

GOO,全称是Gradual Ownership Optimization,意为渐进式所有权优化,适用于同时发NFT和token的社区。GOO针对的问题主要是,很多项目的NFT发行和token发行是独立的并且没有绑定关系,因此随着时间的推移,token持有者和NFT持有者会产生分离。例如ENS社区,持有ENS域名的群体和持有ENS代币的群体并不重合。
GOO解决问题的方式在于将token的增发和NFT绑定起来。简单来说,用户需要同时持有一定比例的NFT和token才能将自己的利益最大化。Token的发行是高通胀的,随着时间的推移,单位时间增发的token会越来越多。同时Token的分配跟两个条件有关:1. 必须持有NFT,2. 持有Token的数量,持有token数量越多,增发的token会相应更多。
Circle通过Circle U为HBCU带来加密素养课程:金色财经报道,Circle推出了Circle U试点计划,这是一项免费的加密货币扫盲计划,有助于促进数字金融知识和金融福祉。Circle U是一个知识库,提供基于区块链的金融服务的全面概述,以及随后处理及时主题的电子学习和微学习。该课程包含七个模块和评估,涉及基本概念,包括货币的演变、比特币和区块链技术、以太坊和代币化、分层和互操作性、Web3和应用程序、政策和监管以及Web3教程。完成Circle U课程并达到高标准的学生将有机会获得早期申请Circle实习和就业的机会。(prnewswire)[2022/9/29 5:59:41]
基于NFT增发token也可以被理解为NFT有产生token的能力。如果用户手里只有token没有NFT,相当于只有蛋没有鸡,用户没有产生token的能力。那么随着token发行量越来越大,用户手上token的价值会被稀释。因此只持有token不持有NFT是一个非常不明智的决定,用户会更有动机同时持有两种资产。那么更加复杂的问题在于当用户持有NFT时,持有多大比例的GOO才能达到效用的最大化?
前文提到,持有越多的token,获得的增发的token会越多。但为了避免出现一个账户里只有一个NFT(为了获得了增发token的权利),和很大数量的token(为了获取尽可能多的增发token)的情况。Paradigm将基于NFT增发token的速率做了规定。NFT生产token的函数为:

其中m是NFT产生token的乘数,g(t)是t时间点持有的代币数量。因此NFT产生token的效率跟两个因素有关,一个是NFT自身的乘数(初始禀赋),一个是持有token的量(后期调整)。这里运用了一个开方函数,意义在于每多持有一单位的token对于手中NFT产生token的边际效率是递减的。因此,当持有人手中的NFT和token已经达到了最佳的比例时,继续增持token的效用低于再构建一个新的NFT和token的portfolio。
PoutineX完成500万美元种子轮融资,Pilgrim Crypto Ventures领投:6月10日消息,去中心化交易所PoutineX完成500万美元种子轮融资,Pilgrim Crypto Ventures领投,Polycoin Digital Fund等机构和个人投资者参投。筹集的大部分资金将用于优化去中心化永续合约协议Poutine Exchange的产品并强化其运营。
据悉,该协议正在开发中,正式版本预计于7月初推出,另一项名为Trade-to-Earn plus(T2E+)的创新模式也将同时实施。作为一个游戏化的Swap farming协议,它结合了NFT通行证、数据farming、交易费回扣、利润分享等。与简单的Swap farming模式相比,X2E+整合了NFT的游戏特性,增强了交易活动的乐趣。此外,治理代币将于2022年下半年发布。[2022/6/10 4:17:21]
那么新的问题产生了,如果有动机持有多个NFT,用户是否需要不断动态调整token的配比来达到最佳平衡点呢?答案是否定的。在Paradigm这套机制之下,一旦token与NFT乘数达到最佳的比例之后就不再需要调整了。并且在最佳配比下持有一个乘数为10的NFT和持有两个乘数为5的NFT获得的token是相同的。意味着只持有一个NFT的人和持有多个NFT的人并不存在不公平的情况,因为token增发的速率只与NFT乘数有关,与持有NFT的数量无关。详细的数学公式推导这里不展开解释,感兴趣的读者可以参照Paradigm的原文。
GOO的意义,简言之,首先是通过token的高通胀来实现资产的强制锁仓。其次,通过绑定NFT和token增发的关系来绑定NFT持有者和token持有者,避免两个社群利益不一致导致的问题。比如,持有NFT代表着认同此NFT带来的文化属性,持有token更多是出于投资考虑。然而社区的治理权的分配普遍是根据持有token的数量来分配的,这些token持有人可能对社区本身并无身份认同,也不会有兴趣参与治理。因此保持NFT和token持有人两个群体一致是非常必要的,但是通过高通胀来实现强制锁仓,笔者认为并不具有可持续性。
A16Z—Can't Be Evil NFT Licenses
概念:Can’t be Evil NFT Licenses是A16Z颁布的NFT商业版权准则
逻辑:执照划分了六个NFT商业版权的种类,并且界定了五种权限。NFT发行方采用了哪种执照,就意味着对应拥有或者放弃某些权力
意义:A16Z颁布的准则为NFT空白混乱的版权市场提供了一套标准,但是我们离“不能作恶”目标和完善的许可制度还有很远的距离,需要全行业的共同努力
传统的版权许可制度对于创作者的条条框框非常多,极大程度限制了创作者或者更多人参与文化和知识生产。特别是在Web3.0的背景之下,过去的规则已经无法解决新的问题。许多的NFT项目因不清晰的版权界定造成了很多纷争甚至法律问题。为了应对这一现象,A16Z颁布了“Can’t be Evil NFT Licenses”。
这些执照明确规定了买方关于其NFT艺术作品的权利,主要设计到三个方面:1. 这些权利是否具有排他性(创作者放弃所有授权权利,只有买方有权决定如何使用NFT);2. 是否包括商用权(开放买方用于商业目的权利);3. 是否允许买方的二改,二创等行为(修改或者二创NFT并且使用)。其他权利还包括买家是否有复制、展示和传播的权利,以及有权删除仇恨言论等等。

图片来源:https://a16zcrypto.com/introducing-nft-licenses/
基于六种NFT执照,创作者让渡了哪些权利给买家同时保留了哪些权利有了非常清晰的界定。这一套规则可以帮助NFT社区更好获得知识产权的保护,有助于建立一个更加公正、有效、更具创造力的NFT生态。值得注意的是,A16Z这套准则经推出后也没有直接被社区全盘接受,市场上也出现了不少反对的声音。
例如其中一条涉及到仇恨言论的权利引起了热议。因为如何界定“诽谤、骚扰、欺诈、粗俗、残忍”等等性质完全是创作者主观的判断,没有客观的标准可能会导致纷争,特别是欧美普遍的“cancel culture”。尽管如此,抛开具体的条例是否合理,Web3.0社区讨论和研究的态度和热情十分令人欣慰。A16Z也在文章中提到,上述权利只涉及到最简单最基本的权利,它可能并不适用于每一个项目或解决所有的版权纠纷。笔者认为这是一个很好的起点,也鼓励更多的从业者们为行业标准化添砖加瓦。
Why Always About NFT?
如今的NFT已经衍生出了很多玩法,众多NFT-fi项目不断涌现。我们在之前的文章《Sudoswap引领的NFT-Fi Summer来了》中详细介绍过。然而,NFT-fi有一个最基本的前提——NFT的底层价值被广泛认可。基于此,NFT的抵押借贷、衍生品、碎片化等一系列玩法才有意义。那么底层价值来自于哪里?笔者认为,NFT有两个基本属性——内容属性和金融属性,这两种属性反映了NFT两个底层价值——文化价值和实用价值。
首先是文化价值,NFT可以作为文字、图片、音频、视频等文化产品的载体。但现实中,NFT卖出如此高的价格仍为被大众接受。“NFT不就是一张JPEG,凭什么这么贵?”类似的质疑声不绝于耳。实际上,这个问题本身隐含着一个价值判断:文化产品应该是廉价的,因为Web2.0平台的服务和内容都是免费的。而这种想法是多年来注意力经济的商业模式培养出来的消费习惯。不管是图片、文章还是音乐、视频,消费者已经习惯了廉价的文化产品。因此一张JPEG能卖出很高的价格在大众眼里成为一件很离谱的事。
然而,商品的价值和价格是两种属性,价格是价值的货币表现,但这种映射并不总是正确的。文化产品低廉的定价导致消费者误认为文化产品没有价值。因此,作为文化载体的NFT也没有价值。一旦消费者被培养出了这种观念,创作者的变现就会极其困难。笔者在上一篇《流行音乐编年史——创作者经济如何成就最伟大的作品?》里也阐述过这样一个观点:垄断的终局都不是对于技术的垄断,而是对于经济模型拥有绝对的话语权。注意力经济剥夺了创作者的定价权,并培养了消费者错误的消费观念和习惯。为了改变这个现状,Web3.0首先是一场文化运动,让NFT的文化价值被广泛承认并正确定价。
然而,消费观念是长期培养形成的,消费观念的改变也不可能一蹴而就。在NFT的文化价值不被承认的背景之下,NFT的第二个属性——金融属性显得尤为重要。如果一个NFT有实用价值,那么消费者自然会为NFT付费。比如NFT作为门票、会员、身份、游戏道具、投资标的等等被应用,NFT的用例在持续创新。如果NFT在各个领域被广泛应用,其实用价值被不断验证并且推广,消费者对于NFT的认知就不会停留在JPEG层面。
只有NFT的底层价值成为共识,NFT衍生玩法才有意义,NFT-fi才有可能成为新的叙事。目前市面上已经出现很多NFT-fi项目,但是围绕着NFT底层价值的讨论寥寥无几。A16Z和Paradigm作为“Web3.0明灯”,近期围绕着NFT的价值展开众多研究。VRGDA提出了更好的拍卖机制,让NFT的价值更有效地体现在价格上。Can’t be Evil License为NFT作为文化产品的版权载体清理了障碍。相比之下,笔者认为近期最热门的GOO反而没有那么深远的意义——NFT的持有动机最终应该来自于价值,而不是强制锁仓。不过在NFT底层价值没有成为共识之前,GOO可以作为缓兵之计。
在这个熊市,我们希望看到越来越多关于NFT底层价值的讨论出现。让NFT能够真正发挥其作用,而不只停留在投机的层面。IOSG对NFT的未来充满信心,后续请持续关注IOSG公众号,我们将为大家带来更多深度讨论。
IOSG
个人专栏
阅读更多
金色早8点
财经法学
成都链安
Bress
链捕手
PANews
Odaily星球日报
标签:NFTTOKKENTOKE1MillionNFTsDobermann TokenYoung Boys Fan TokenEvulus Token
原文标题:《在元宇宙中上大学或将面临的 5 个挑战》撰文:Nir Kshetri越来越多的大学正在发展成立「元宇宙大学」,将实体校园带入一个虚拟的在线世界——也就是当下非常火热的元宇宙中.
1900/1/1 0:00:009月15日,随着以太坊合并的完成,PoW矿工从生态系统中退出,以太坊也正式转为PoS机制。以太坊是一个庞大的生态系统,其链上运行着数千个去中心化应用程序和去中心化金融协议.
1900/1/1 0:00:00原文作者:Matchbox DAO虽然链上游戏与传统游戏世界有其不同之处,但我们有义务考虑需要移植哪些功能才能使区块链游戏更受欢迎.
1900/1/1 0:00:00与ETHPoW交互可能会有很大的风险,所以这里将给你一个检查清单,你可以用它来避免分叉中可能遇到的风险.
1900/1/1 0:00:00我从见市场中出现过如此多不受控的潜在威胁。David 的说法虽然直白,但却非常符合大多投资者的心境,他们心中必然有很多疑问.
1900/1/1 0:00:00a16z crypto出过一系列经典文献,从去年的DAO经典到更早的NFT经典(以及在此之前是最初的加密经典).
1900/1/1 0:00:00