上个周末,一款名为“ZAO”的换脸APP突然火了起来。一夜之间,整个朋友圈好像都在“跟明星谈恋爱”。
不过,由于用户协议中关于个人隐私的一些条款,这款软件火了还不到一天,就遭到多方质疑,日前更是被工业和信息化部网络安全管理局约谈,要求其开展自查整改。
虽然“ZAO”的火爆只是昙花一现,但有关AI换脸及人脸识别等技术的讨论却仍旧火爆。
AI是如何实现换脸的?
所谓隔行如隔山,作为一个外行人,我们很难搞明白AI换脸的深层原理,但综合互联网上所得到的信息,我们可以了解到AI换脸的大致流程。
STEP1:
框选人脸、提取人脸信息

要想成功地实现人脸替换,就要将一个视频分解成若干帧图片,再依次对这些图片进行处理。
人工智能需要先经过大量的学习与训练,知道如何从图片中正确地框选出人脸,以及将这张脸还原成正常光线下的正面照。这之后,再从框选出的人脸图片上提取核心信息,比如五官、表情等。
Paradigm正在开源MEV Bot 框架“Artemis”:5月5日消息,加密风投公司Paradigm宣布正在开源 MEV Bot 框架“Artemis”,Artemis 是一个用 Rust 编写 MEV Bot 的框架,具有简单性、模块化和高性能等特点。Artemis 通过为编写 MEV Bot 提供灵活和可重用的组件,并作为贡献策略和守护者的存储库,来缓解 MEV 市场中新进入者面临的诸多障碍。
Artemis core 包括三个主要组件,有 Collectors(接收如未决交易、新区块、链下订单等的外部事件,并将它们转化为内部事件表示、策略(包含每个 MEV 机会所需的核心逻辑)和执行器。此外,Paradigm 正在开源跨市场 NFT 套利策略。[2023/5/5 14:44:07]
STEP2:
得到转换编码
在上述学习、训练的过程中,人工智能会总结出一套如何将图片转换成核心人脸信息的编码,也可以理解成一套公式。
STEP3:
Chainge CEO通过Escrow以0.8个BTC购买域名“anyswap.com”:据官方消息,12月29日,Fusion&Chainge创始人DJ QIAN通过Chainge去中心化资金托管合约从素未谋面的Kabir S Rawat先生手中以0.8BTC的价格购买了域名:anyswap.com,整个交易过程在 10 分钟内完成,目前该域名已可以直接访问Chainge finance官网。
Chainge独创的去中心化资产托管合约,使全球用户能够自由快速交易,不必再担心安全问题和繁琐的传统流程,并可以提供给任何想要购买或出售(资产/商业商品/服务)的人使用,同时具有督促对手方履约的安全性。[2021/12/29 8:12:30]
完成转换

最后,只需要套用这套公式,就可以得到一张“新”脸了,再将这张脸复原回图片和视频,我们的换脸就成功啦。
火币:与“AMBC”平台没有任何合作关系 请用户注意防范风险:据官方消息,火币近期收到不少用户咨询及投诉,称从火币提币至“AMBC”平台后,无法打开该平台软件。
火币相关负责人表示,火币与“AMBC”没有任何合作关系。请广大用户注意防范风险,防止资产损失。
为防止不法分子借用火币全球站名义进行,用户可通过官方验证通道确认联系电话、微信等是否为火币官方渠道。[2020/7/12]
举个例子
或许我们可以这样简单理解,如果你想将杨紫的脸换成自己的,去和李现“谈恋爱”,需要这样做:
①让人工智能通过学习和训练得到“杨紫转换公式”
②让人工智能通过学习和训练能够顺利提取你的五官
③将你的五官套用到“杨紫转换公式”中得到一张拥有你的五官的“杨紫脸”
④将这张“脸”还原到视频中
知乎上关于“AI换脸是什么原理?”的问题中,答主“CalebGe”的回答更加生动:
假设我们的世界里只有两个画家,画家A只会画猫,画家B只会画狗。一天,画家A偶遇了一条凶悍的狗,狗狗怕生,龇牙咧嘴,不停地朝他吠。他一时画意顿生,把眼前的景象随手画了下来。只是因为常年的画猫经历让他不管画什么看起来都是猫,所以这次他画出来的是一只龇牙咧嘴的猫。画家B拜访朋友家,见到了一只正在玩线团的猫,被它的古灵精怪吸引,他也随手将景象画了出来,只是他笔下画出的,是一条摆弄线团的狗。
动态 | 京东“AI养猪”运用区块链等科技,若全国推广可每年节约行业成本500亿元:京东在农牧领域提供技术赋能的典型项目是“AI养猪”,其推出专门的智能养殖解决方案,应用了猪脸识别、IoT、区块链等数字科技手段,实现了机器人饲喂、全程可溯源。“AI养猪”把生猪出栏时间缩短5-8天,把每头猪的饲养成本降低80元,推广到整个中国养猪业每年可以节约行业成本至少500亿元。(新华社)[2019/9/23]
人脸识别前景几何?
“ZAO”虽然一夜爆红,但也让不少人感到害怕:如今AI换脸技术发展得如此迅速,个人的隐私与信息安全如何保证?
而作为实现AI换脸的基础技术之一,人脸识别技术也再一次引发关注和讨论。
所谓人脸识别技术,就是利用计算机分析人脸图象,进而从中提取出有效的识别信息,用来“辨认”身份的一门技术。
应用场景逐渐增多
关于人脸识别的研究其实可以追溯到20世纪50年代,不过在此后的一段时间内,这种研究还只是停留在“人工”阶段。直到20世纪90年代,借助于计算机的超高运算能力,人脸识别研究才开始真正发展起来,也成为了当时的科研热点。大约在2010年前后,人脸识别技术开始进行商业化尝试,并在最近两年出现了快速发展。
动态 | 名为“Agwl”的犯罪团伙针对phpStudy网站服务器批量入侵盗挖门罗币:腾讯御见威胁情报中心近期监测到针对phpStudy网站服务器进行批量入侵的挖矿木马。攻击者对互联网上的服务器进行批量扫描,发现易受攻击的phpStudy系统后,利用用户在安装时未进行修改的MySQL弱密码进行登录,并进一步植入WebShell,然后通过shell下载挖矿木马挖门罗币。腾讯御见威胁情报中心的监测发现,这个名为“Agwl”的网络犯罪团伙曾于2018年7月入侵某互娱公司手游官网服务器。两次入侵手法如出一辙,从病感染趋势看,该团伙近期趋于活跃。[2019/1/23]
2013~2018年中国人脸识别市场规模统计情况及预测

数据来源:前瞻产业研究院整理
2014年开始大幅增长的专利申请数量也揭示了最近两年这一行业的发展速度。
2010~2017年中国人脸识别相关技术申请量变化趋势

数据来源:前瞻产业研究院整理
另外,随着自身的快速发展以及5G等其他技术的不断壮大,人脸识别技术的应用场景也正在逐渐增多。
目前已应用场景
身份识别:刷脸进站、手机解锁、APP登录等
安防:抓捕罪犯、寻人等
金融:刷脸支付等
未来,在身份识别、金融、安防、智慧城市建设等领域,人脸识别的前景非常广阔。
《中国经营报》记者曾采访到刷脸设备生产商和微信支付服务商钱客多的总经理于挺进,他表示,比如在监狱、学校、工厂等一些不允许携带手机的场所,刷脸支付非常方便。“有服务商已经把刷脸支付产品铺到了监狱里!”
前途仍不明朗
不过,目前行业内也确实存在一些问题。
1.
技术发展不完善
目前人脸识别技术的发展仍不完善,用户体验差的情况时有发生。同时,大部分网友对这一技术还不大信任,担心存在个人隐私泄露的问题。
比如这次引起大家热议的AI换脸技术,不少网友担心,一旦我们的“脸”被犯罪分子利用,很可能会出现、账户盗刷的情况。
诸多顾虑下,人们对于人脸识别的态度仍比较谨慎。
2.
盈利能力待解
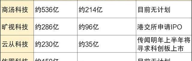
目前,国内的头部人脸识别企业主要有四家:商汤科技、旷视科技、云从科技、依图科技,这四家公司也被称为“AI四小龙”。

据公开资料整理
虽然商汤科技、云从科技、依图科技都曾对外表示公司已实现盈利或收支平衡,但我们从前不久刚刚在港交所提交IPO申请的旷视科技的招股书中,还是能看到目前行业内存在的变现难题。
旷视科技收入与亏损情况

数据来源:旷视科技招股书
旷视科技的收入虽然从去年开始有了大幅提高,但亏损也在不断扩大。
不过对于亏损增加的原因,旷视科技方面解释称,主要是由于优先股的公允价值变动以及对研发的持续投入。
因此,旷视科技也披露了经调整后的财务数据:2018年经调整净利润为3219.5万元;2019年上半年经调整净利润为3267.7万元。
3.
研发与人才成本高昂
作为高新技术产业,人脸识别企业的研发成本肯定十分可观,这点从旷视科技逐年增长的研发开支中也能窥得一二。
旷视科技研发支出情况

数据来源:旷视科技招股书
另外,对于这样的领域来说,从业人员门槛较高,人力成本也相对较大。
更何况目前行业内还存在较大的人才缺口。
商汤科技总裁张文曾在2018年进行的一次演讲中表示:
据腾讯研究院发布的《中美两国人工智能产业发展全面解读》分析,美国人工智能产业总量约是中国的2倍,基础层人才数量是中国的13.8倍,人才差距巨大。另据高盛发布的《全球人工智能产业分布》报告统计,2017年全球人工智能人才储备,中国只有5%左右,人才缺口超过500万人。稀缺的人才更加重了企业的人力成本。
虽然目前行业内仍存在不少发展难题,但随着技术的升级以及产业的完善,这些问题或许都有机会迎刃而解。
如今,资本及各大企业都已开始积极布局。未来,人脸识别会不会成为下一个“风口”,这或许又是一个需要交给时间验证的问题了。
标签:人工智能STEPTEP人工智能技术应用学人工智能后悔死了人工智能考研考哪些科目STEP价格STEP币TEP币TEP价格
来源:生活解忧君 区块链成为最具前景的金融投资 网络虚拟货币就是指非真实的货币,虚拟货币的价值转换,在虚拟货币市场内完成。而现在虚拟货币可能成为金融投资最有前景的选择.
1900/1/1 0:00:00钱是个好东西,俗话说得好:有钱能使鬼推磨!但是绝大部分人都不知道钱的来源与历史。有人问了解这些有必要吗?小编只能说,非常有必要!因为搞懂了生活的经济知识,能使我们明白生活的逻辑,并利用这些知识去.
1900/1/1 0:00:00近日随着美国监管部门对泰达公司的靴子落地,因未见监管落地即利好,市场依然平静如初,比特币等主流币也未有任何反应,但当大家都忙着赚钱,做事的时候,市场再次被小人得逞.
1900/1/1 0:00:0036岁的钟小姐,这几年经历了一些困境。她作为一代Itgirl,现在大家对她的关注度远不如从前。但她的状态依然很好,这就是她的魅力吧!AlexaChung钟小姐,大家还记得吗? 她是第一代街拍型人.
1900/1/1 0:00:0022日,币印矿池在成都举办了2019新时代矿业峰会。嘉楠耘智联席董事长孔剑平受邀参与开场分享。他讲了一个笑话,甲乙丙三个人挤进电梯上到楼上,问他们怎么上来的,三人都有自己的说法,但没有一个人说是.
1900/1/1 0:00:00提出的数学证明概述了信息在编码消息中的行为方式,可能会对黑洞产生影响。证据表明,黑洞吐出的辐射可能会保留黑暗巨兽的信息。 该研究的重点是量子力学系统中的编码通信.
1900/1/1 0:00:00