本文将探讨如何更合理地评估NFT的稀有度。稀有度得分是一种辅助手段,不同NFT项目方会给出关于某种属性的更重要的公告,也会受到了个人主观审美的影响。
什么是NFT的稀有度?
一般来说,NFT的稀有度包含两个概念:特征稀有度与资产稀有度。
特征稀有度:衡量每个特征的出现频率,即拥有该特征在此集合中的占比。例如,特征"Background_Blue"的稀有度得分是10.44%,因为ShortBearClub总数是5000只,其中有522只"Background_Blue"熊。

图1:ShortBearClub的特征稀有度
资产稀有度:代表该项资产的总稀有度分数,可用于横向对比与排名。单个NFT的价值通常很大程度上受到稀有度的影响。对于NFT收藏家来说,当他们在考虑购买哪种NFT时,他们希望花费相同数量的ETH带来最大的回报,于是,稀有度成为最重要的参考指标之一。
已有的稀有度评分模型Rarity.Tools稀有度评分
Rarity.Tools是目前使用最广的稀有度评分工具。它的核心计算方式是:将每个特征出现频率的百分比的倒数总值相加。

比特币社区仍在讨论如何激活Taproot:金色财经报道,自Taproot于今年1月正式成为比特币改进提案以来已经过去了6个多月。尽管争议很少,但社区仍在讨论如何实施适当程序。问题的根源在于是否需要进行一个能够被所有利益相关者都可以接受的软分支。根据Reddit比特币社区的一个帖子,“激活Taproot的最大问题是之前的软分叉SegWit导致的创伤后应激障碍(PTSD)”。据悉,“新式软分叉激活”程序提出了一种混合系统,在一年内未能达成共识后,升级将被拒绝。经过另外六个月的讨论,社区可以决定开始为期两年的过程,将在到期时激活升级。此过程最长可达42个月,即三年半。尽管相对没有争议且功能有限,Taproot可能仍需花费数月(甚至数年)才能激活。[2020/7/16]
图2:rarity.tools的稀有度模型
不过,Rarity.Tools在近期调整了它的计算模型,且没有公开披露具体细节。
Rarity.Tools是NFTSummer爆发前就有的一款NFT稀有度数据分析工具,它的优势在于计算模型简单易懂。用户可以很直观地看出哪个特征在整体稀有度分数中贡献度更大。但是简单加总法的缺点是可能会高估或低估一项资产的真实稀有度。例如,若某个特征或者特征数量的分数过高,会在一定程度上拉高该NFT的排名,但用户可能对该特征并不是很关注。
NFTEXP稀有度评分
在NFTEXP的稀有度计算更为复杂,目前尚未披露。我们只能从NETEXP官网中获得NFTEXP模型的大概思路。
以"Chubbies"项目为例,其中两个特征的频率如下:
脸部:Blushed,有1053个。
发型:Afro,有1110个。
声音 | 韦氏评级:无论比特币盈利能力如何 投资者都更倾向于存币而非卖币:韦氏评级今日称,超过60%的比特币一年多都存储于钱包中而非在市场流通。在此期间,比特币兑美元的价格从去年12月的3100美元上涨到仅6个月后2019年的13800美元高点。无论盈利能力如何,投资者都希望存币而不是卖币。[2019/12/3]

图3:"Chubbies"项目一览(来源NFTGO.io)
从百分比上来看两个特征的稀有度几乎相同。但是:「Blushed」的特征稀有度评分为8,而Afro的特征稀有度评分为17。这是因为发型特征只有四种,脸部特征一共有13种。所以,一个「Blushed」的真实稀有度低于“平均脸”,而一个「Afro」的真实稀有度高于平均水平。
NFTEXP的特征稀有度考虑到了特征中类别数的影响。每个特征的出现频率会与平均频率进行比较,相应的调整特征评分。但NFTEXP也存在和Rarity.Tools同样的缺点,会在下一节“异常情况对比”中详细阐述。
更合理的稀有度评分模型
一般来说,稀有的同义词还有特殊、独特。一件事物是否稀有,主要取决于它与群体内其他事物的差异性。差异性越大,代表这件事物更加特殊和罕见。那么,若能量化这件事物与群体内其他事物的综合差异,即能反映出它在群体内的稀有度。NFTGO基于这一原则,研发出一种更科学的方法来评估NFT的稀有度——基于Jaccard距离的稀有度评分方式。
大咖零距离 | 胜率高达85%的趋势交易大神告诉您如何用趋势交易捕捉大行情:11月22日18:00,金色盘面邀请实盘大V J神做客金色财经《大咖零距离》直播间,将分享《胜率高达85%的趋势交易大神告诉您如何用趋势交易捕捉大行情》,敬请关注,欲进群观看直播扫描海报二维码报名即可![2019/11/22]
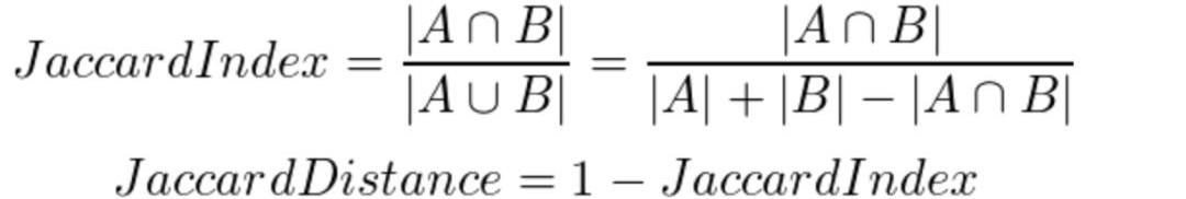
什么是Jaccard距离?
Jaccard距离是一个统计学的方法,用于测试样本集之间的不相似性,范围为从0到1。其数学公式为:

Jaccard距离是一种常见的数据科学测量方法,用于计算对象之间的差异性。其逻辑看起来类似于维恩图,衡量样本集之间的交集大小。
如何计算NFTGO稀有度评分?
NFTGO基于Jaccard距离来纯粹地统计NFT特征的相似度。我们以计算BAYC#1154稀有度评分为例:
计算#1154与同系列中其他9999个NFT的Jaccard距离
计算Jaccard距离的平均值,这就是稀有度分数的初始数据
使用极差法处理上一步的数据。极差法的数学公式为:

动态 | Cryptopia清算跟进:总资产为170万美元 清算人需向法院咨询如何支付欠款:据rnz消息,Cryptopia清算公司Grant Thornton需要就如何现款支付客户欠款向法庭寻求法律咨询,因为世界上还未有任何法律先例。来自Grant Thornton的清算人David Ruscoe和David Ruscoe发布报告称,Cryptopia目前欠款超过400万美元,而总资产为170万美元。本周,法院下达命令,允许他们使用该公司持有的比特币为清算提供资金。 据此前消息,Grant Thornton发布清算报告显示,Cryptopia欠69名无担保债权人债务超过210万美元,有担保债权人的债务超过140万美元。此外,该公司欠员工未付工资、假期工资以及无担保债务近60万美元,预计无担保债权人的数量将会增加。在今年1月份遭黑客入侵损失1600万美元后,Cryptopia目前已申请美国破产保护。[2019/6/1]
用上一步得出的z-score乘以100,即为BAYC#1154的最终稀有度分数。然后在一个集合中根据分数进行排名(稀有度分数的范围从0到100),得到该NFT的最终稀有度排名。
NFTGO稀有度评分的优势
通过实验对比发现,Rarity.tools和NETEXP的稀有度评分可能会高估或低估一项NFT资产的稀有度,而NFTGO稀有度评分却能在这些异常情况里给出比较合理的结果。
下表展示了NFTGO、Rarity.Tools和NFTEXP三种稀有度评分模型,在计算BoredApeYachtClub(BAYC)系列NFT的稀有度排名时的异常情况。

声音 | 迅雷链张慧勇:区块链技术如何在实体经济中应用是亟待解决的问题:5月15日,在世界智能大会2019全球区块链科技创新峰会上,迅雷链开放平台研发负责人张慧勇受邀出席了峰会并发表了“看迅雷链如何助力实体经济”的演讲。张慧勇表示,区块链3.0时代亟待解决的问题是让区块链技术在实体经济得以运用以发挥其价值。而只有符合实体企业应用需求的区块链,才能真正落地。这就要求区块链企业,从实体企业的现实需求出发,升级自己的技术架构,为实体经济赋能构建有力基础。迅雷链自2018年上线以来,始终在强化自身技术的同时踏实助力实体商业场景落地,已在版权、溯源、出行、营销等多个领域有了规模级行业应用。[2019/5/16]
表1:各工具稀有度排名结果对比
在26个异常值中,前22个猿猴的稀有度评分被Rarity.Tools和NFTEXP高估了,因为“有四个特征属性的猿猴”在总分中占了很大的比例。最后4个猿猴的稀有度评分被Rarity.Tools和NFTEXP低估了,因为“有五个特征属性的猿猴”在总分中占的比例很小。
以BAYC#947为例,NFTGO将其排名为#9994,这几乎是最不稀有的猿猴,稀有度为406。然而,Rarity.Tools将它排在第775位,稀有度为168.23。这是因为Rarity.Tools仅将每个特征和特征数进行简单相加(然而它实际没有额外的特殊特征)。如下图所示,这只猴子并无特别的特征。那为什么这只猿猴在Rarity.Tools中排名前10%?很明显,特征数占稀有度分数的比例过高,在168.23的总分中占136.7分。有四个特征属性的猿猴总数为254个,有六个特征属性的猿猴总数为5,323个。根据Rarity.Tools提供的稀有度计算公式,有四个特征属性的猿猴会比有六个特征属性的猿猴相对稀缺,这其实并不太合理。

图4:Rarity.tools针对BAYC#947的稀有度评分细节

图5:NFTGO针对BAYC#947的稀有度评分细节
再看BAYC#2832和BAYC#8742,很明显,BAYC#2832的评分应该更高,因为它有多样化的特征。并且,BAYC#8742的最高报价也高于BAYC#2832,因此,购买BAYC#2832是更有利可图的,而Rarity.tools低估了它的稀有度。

图6:Rarity.tools针对BAYC#2832和BAYC#8742的稀有度评分细节(数据:2021年12月2日

图7:NFTGO针对BAYC#2832的稀有度评分细节)

图8:NFTGO针对BAYC#8742的稀有度评分细节
图7和图8是NFTGO对BAYC#2832和BAYC#8742的稀有度评分。从页面右侧“特征”视图可以看到,BAYC#2832的各特征属性基本浮动在1%-3%之间,而BAYC#8742特征属性的最低值足有12.42。显然,NFTGO的稀有度评分比Rarity.Tools更加合理。
此外,Rarity.Tools和NFTGO对于CryptoPunks的稀有度评分也能反映其准确性的差异。在Rarity.Toolsv2中排名前二十名的Punk,有接近一半是没有特征的。NFTGO对此类Punk的排名更低一些,因为这些零特征的Punk缺乏多样性,理应降低稀有度评分和排名。

图9:Rarity.Tools中排名前21的CryptoPunk

图10:NFTGO中排名前20的CryptoPunks

表2:CryptoPunk的稀有度排名对比(数据:2021年11月2日)
综上,与RarityTools和NFTEXP稀有度评分相比,基于Jaccard距离的NFTGO稀有度评分是合理且准确的,您可以将其作为收藏NFT的参考。
总结
在购买或出售NFT时,稀有度得分是一种辅助手段。虽然我们使用的稀有度模型在统计学上是正确的,但是不同NFT项目方会给出关于某种属性的更重要的公告。例如CoolCats的官方声明,无檐小便帽或帽子这样的普通物品比电脑头或猿人服装等稀有物品的价值要低。除此之外还有其他方法可以判断NFT资产的价值,如艺术欣赏价值或流动性溢价。再者,也许您更喜欢绿色背景而不是红色背景,这受到了个人主观审美的影响。
基于Jaccard距离来计算一项NFT资产的群体性差异,帮助用户发现NFT的群体性综合差异,实际是更本质地量化了“稀有度”这一概念。您已可以在NFTGO上查看所有NFT的稀有度排名和稀有度评分,希望NFTGO稀有度评分能帮助您在购买或出售NFT时做出更合理的决策。
作者:NFTGO
进军“元宇宙”第一步,先造个虚拟人。注意,虚拟数字人已经开始“入侵”我们的生活了!不知道你有没有发现,我们的生活中出现了不少虚拟数字人的身影.
1900/1/1 0:00:00头条▌我国首家数字经济人才市场揭牌成立11月20日,在2021重庆英才大会上,中国重庆数字经济人才市场正式揭牌成立.
1900/1/1 0:00:00Ergo和Waves?Enterprise自11月初达成合作,将最新预言机池框架推向市场。Waves?Enterprise在各种业务用例中利用公共许可区块链的优势,将企业、服务提供商和去中心化应.
1900/1/1 0:00:00今年,以太坊上最大的游戏《AxieInfinity》取得了瞩目的发展。今年8月,《AxieInfinity》单月创收逾3.34亿美元,超越传统游戏《王者荣耀》今年7月份2.31亿美元的收入规模,
1900/1/1 0:00:00今年5月,Vitalik在Uniswap治理论坛上创建了一个帖子,名为“UNI应该成为一个预言机代币”.
1900/1/1 0:00:00Nym是新一代的全球隐私基础设施,像Tor一样,使用中继节点提供隐私。他们的目标是能够扩大网络规模,成为整个互联网的隐私中枢,并通过奖励运行网络的节点,提高网络的效率.
1900/1/1 0:00:00