Solana生态项目逐步增加,借贷、DEX以及衍生品等协议开始丰富起来。Mercurial也是Solana生态上的项目之一。它提供稳定资产兑换服务,这听上去跟目前以太坊生态中的Curve似乎差别不大。不过,作为后来者,它有更多的机会去学习之前DeFi协议的一些优点。这可以从它的设计中看出来,它在用户最为关注的交易滑点、LP收益、资产利用率等方面都做了一定的迭代优化。
Mercurial从稳定币AMM资金池开始切入,为Solana生态提供USDC、USDT、wUSDC、wUSDT等稳定币的兑换服务,随着对用户需求的把握和生态的发展,Solana也计划为更多稳定资产提供流动性服务。
那么,Mercurial有哪些迭代值得关注?我们先从其整体框架入手。
理解Mercurial的框架
我们可以看看Mercurial的框架图:

可以看到核心有几个:Vault、Yield、动态费用、DAO治理。
Solana Labs手机Saga面向公众发售,其用户可申请Saga创世NFT:5月9日消息,Solana Labs推出的手机Saga现已面向公众发售,此前预购的订单已开始向美国、加拿大、欧盟、英国、瑞士、澳大利亚和新西兰等地发货。Saga与Solana深度集成,支持自托管密钥解决方案Seed Vault、可访问去中心化应用程序的Solana DAppStore等。此外,Saga用户可以在设置他们的设备时申请一个Saga创世代币,该设备绑定的不可转让NFT是用户获得Saga Rewards的钥匙,可解锁Solana Mobile和Solanad AppStore上线DApp的独家内容和优惠。[2023/5/9 14:51:15]
Mercurial有动态的做市资金库。它的资金库为稳定资产兑换提供自动做市,LP可以将其稳定资产存入到Mercurial的资金库中,然后为稳定资产兑换提供流动性,同时通过种地或挖矿等获得外部协议的收益,如参与借贷、闪电贷以及收益聚合等。此外,LP的费用收益也不是固定的,而是动态变化的,这也是它与众不同的一个设计。
具体分解来看,有几个方面是理解Mercurial的关键:
Mercurial在降低滑点上的设计
我们知道,目前AMM上进行较大额度的兑换,往往会带来较高的滑点。即便是稳定资产的兑换也会如此。
金融服务平台Marex聘请Ilan Solot和Mark Arasaratnam担任数字资产联席主管:11月2日消息,金融服务平台Marex雇佣了两名加密技术人员,负责为机构投资者提供数字资产。Marex已聘请Ilan Solot和Mark Arasaratnam担任数字资产的联席主管。
Solot是加密基金Tagus Capital的前合伙人,还曾在私人投资银行Brown Brothers Harriman工作过,还曾与国际货币基金组织合作过。Arasaratnam拥有17年金融服务经验,最近在食品初创公司M-EAT和在线购物平台The Chapar工作。
两人受聘提供简单、安全的产品,帮助机构投资者接触加密货币和去中心化金融 (DeFi)。Marex计划将其在托管、执行、风险管理和收益产生方面的专业知识融入数字资产。(CoinDesk)[2022/11/2 12:09:58]
Mercurial跟通常的X*Y=Z的AMM做市模式不同,它的主要不同如下图:

基于Solana的NFT项目Okay Bears单日销售额超1800万美元:金色财经报道,基于Solana的个人资料图片NFT项目Okay Bears周二以每NFT 1.5 SOL(约 145 美元)的铸造价格推出,OpenSea数据显示,该项目在过去 24 小时内完成了196,574 SOL的二级交易,按Solana的当前价格计算,价值逾1840万美元,超过了所有以太坊NFT项目。相比之下,过去24小时内,Gary Vaynerchuk 推出的新项目VeeFriends V2交易量为4,565 ETH(1,310 万美元),Yuga Labs的 Meebits交易量为4,136 ETH(1,190 万美元)。
(Decrypt)[2022/4/28 2:35:28]
红线是传统AMM做市模式下的滑点变化,蓝线是Mercurial的做市模式下的滑点变化。这看上去滑点很低。它是怎么设计的?
主要有两个方面,一是在提供流动性代币对资产时,Mercurial并没有要求提供流动性的代币对一定为1:1配置,可以灵活配置。二是,Mercurial利用了放大化的价格曲线,将流动性集中到所需范围内。如果用户的交易超出交易率范围,会获得较少流动性的支持。
可以通过Mercurial提出的两个公式来简单说明:
Solana借贷门户Larix完成数百万美元私募轮和种子轮融资,Solana Capital等参投:9月15日消息,Solana借贷门户Larix宣布已完成数百万美金的Private及Seed两轮融资,主要投资方有:Solana Capital、SolarEcoFund、Epsilon、Huobi Ventures、Gate、MXC Global、BitMart、Fenbushi 、Polygon、Lancer Capital、FBG、3Commas、IconPlus Capital、LD Capital和OIG Capital等。
据悉,Larix曾获得Solana黑客松亚洲区二次方投票第一名,目前,具有16.8万海外社区用户,近42万测试网用户。Larix已于北京时间9月9日晚8点开启主网,即将于9月17日中午12点上线头矿。[2021/9/15 23:27:21]
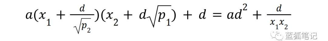
有两个代币组成代币对提供流动性,假设代币为X1,X2;其兑换率波动范围为p1,p2,在常数乘积做市模式下,其公式表达为:

动态 | VanEck SolidX提出比特币ETF最新申请:据livebitcoinnews报道,VanEck SolidX比特币信托基金已与美国证券交易委员会(SEC)会面,就比特币交易所交易基金(ETF)提出最新申请。[2018/12/2]
Mercurial在这个基础上,增加了一些放大系数a,那么得出如下的公式:

在这个公式中,系数a如果是无限大,那么,其所有的流动性都集中在价格范围p1-p2;如果系数a无限接近于0,那么这个公式就相当于常数乘积的做市模式。
通过上述的设计,Mercurial试图降低用户兑换的滑点。这些的设计思路,我们在balancer和dodo上也看到过类似的思考,不过Mercurial目前主要聚焦于稳定资产的兑换为主。
Mercurial在增加LP收益上的设计
在传统的AMM中,LP的费用收益一般来说是固定的。比如Curve一般是0.04%;在UniswapV2一般默认是0.3%;在UniswapV3则做了可供选的费用:0.05%、0.3%以及1%。
跟这些相对固定的费用设计不同,Mercurial采用动态费用设计。在Mercurial中,所有的代币对资金库共享相同的动态费用机制。
采用动态费用机制的动机在于为LP提供更合理的收益,当兑换需求增加,其兑换手续费也会随之增加。尤其是当市场波动性大时,通过更高的手续费,可以减少LP的无常损失,并获得更高收益。如果市场波动小,用户兑换需求较小,手续费也会下降,从而激励用户进行交易。
Mercurial在确定其费用时,会使用长时间窗口和短时间窗口的交易量衡量,并采用EMA计算,其费用基于交易量比率更新。下图表示基于市场波动性变化的费用更新。

Mercurial在提升资产收益方面的设计
除了在降低滑点和为LP代提供动态费用收益方面的设计之外,Mercurial还有一个不同的设计是,它会从资金库的资产中进行动态分配管理,将其配置到外部协议。而其分配算法是通过链上的算法管理。除了资产的配置之外,Mercurial的资产管理还包括利息和收益收集,退出特定平台以及清算所得收益等。

这些收益计划只有得到DAO的批准之后,才能部署到外部的平台。DAO来决定每个资金库可以部署到外部协议的比例。外部收益平台包括闪电贷、借贷平台、带杠杠的稳定币借贷或其他收益资金库等。平台会根据收益、风险以及流动性情况进行选择。通过收益计划,做市商的资产利用率得到提升。
MER代币机制
Mercurial的代币是MER。MER代币有机会捕获如下价值:
*兑换的手续费用
MER代币持有人有机会获得Mercurail平台上交易手续费。MER具体如何捕获交易费用,是回购并销毁MER,还是分配MER,则会通过DAO治理来决定。
*种地收益佣金
MER持有人有机会获得“种地”或“挖矿”收益的佣金。根据DAO治理,可以通过购买并销毁MER代币的形式,也可以通过质押MER代币获得相应分配的形式。
*合成资产的抵押品
在生成合成资产或其他稳定资产时,MER会被用作为主要的质押代币。如果合成资产的需求增加,那么会产生对更多MER代币的需求。这一点类似于Synthetix的SNX代币的质押功能。
*治理价值
在Mercurial的DAO治理中,其主要工具是MER代币。通过它可以参与DAO的治理。而DAO治理可以决定协议的一些重要参数和决议。比如确定交易以及资金库收益的基础费用和佣金;费用是否用于销毁或分配;可以将资金库资产部署到哪些协议;资金库用于种地或挖矿的比例;应该推出哪种新合成资产;LP和质押者奖励机制;为保险池注入多少资金,以应对资产脱锚的风险等。
这意味着MER本身也有治理价值,如果Mercurial有机会成长起来,那么其治理的重要性会显现出来。
此外,Mercurial的流动性提供者存入资产可以获得LP代币。LP代币:
1)可以质押用于MER代币的流动性挖矿;
2)可以在Mercurial资金库中进行再投资;
3)可在其他借贷平台用于抵押品;
4)可用于合成资产的生成。
Mercurial的冷启动计划
为实现冷启动,Mercurial试图从如下几个方面入手:
*用户界面上,尽可能符合CEX和EVM用户体验的设计,以此减少使用摩擦;
*鼓励Kyber社区的参与,Kyber有超过10万代币用户,通过Kyber社区,Mercurail试图完成初步用户的积累。
Mercurial的切入点
从上述来看,Mercurial本身更像是一个稳定资产管理协议。它通过其稳定资金库的构建,为交易者提供稳定资产兑换服务,为流动性提供者提供做市收益、种地或挖矿等资产管理收益。从这个角度,其核心在于对稳定资产的管理。
因此,Mercurial能否取得成功,主要取决于其对稳定资产管理能否成功。而稳定资产管理能否成功主要取决于其稳定资产兑换、稳定资产种地/流动性挖矿收益等。
从这个角度,Mercurial的第一个切入点是对DEX协议的升级迭代,它聚焦于为稳定资产交易者提供更低的滑点,由此吸引交易用户。而更大规模的交易用户,会吸引更多的流动性提供者。流动性提供者是Mercurial资金库的注入者,它们希望有更高的收益,这个收益可以来自于流动性提供,也可以来自于种地或挖矿等。
此外,除了协议本身机制的设计,Mercurial还有一个切入点是,它不是从以太坊生态切入,也不是从波卡、BSC或HECO等链切入,而是从Solana切入。这意味着,它早期会主要服务于Solana生态用户,其早期能否成功也跟Solana生态整体发展息息相关。
-------
风险警示:蓝狐笔记所有文章都不能作为投资建议或推荐,投资有风险,投资应该考虑个人风险承受能力,建议对项目进行深入考察,慎重做好自己的投资决策。
以太坊基金会核心开发人员DannyRyan在以太坊官方博客发布文章宣布信标链首个升级Altair已取得稳定进展.
1900/1/1 0:00:00金色财经区块链5月25日讯??自五月中旬加密货币市场出现暴跌之后,黄金价格出现明显回升。根据TradingView数据,本周二黄金价格持续小幅上涨,并于美国东部时间凌晨3:00达到每盎司1,88.
1900/1/1 0:00:00前言随着央行数字人民币研发日益推进,未来央行数字人民币在支付、金融应用等领域将扮演多大的角色,倍受金融市场关注.
1900/1/1 0:00:00据TheBlock5月25日报道,加密货币风险投资公司1confirmation周二表示,已经为最新加密基金筹集1.25亿美元.
1900/1/1 0:00:00推特无法在苹果应用商店改名X:命名至少需2个字母:金色财经报道,在马斯克的力主之下,Twitter(推特)近日已经全面开启了改名进程,目前iOS、Android客户端已经更名为了X.
1900/1/1 0:00:005月21日消息,Layer1隐私区块链Beam正在为DeFi空间带来机密性。该项目已获得200万美元资金,以实现隐私DeFi构建模块,例如AMM,LP,抵押,算法稳定代币等.
1900/1/1 0:00:00