「知矿大学问答」是以问答的形式,邀请行业资深从业者,解答用户挖矿相关的提问。
用户@向小猪学时间管理的提问:
矿池按什么方式给矿工结算收益?
知矿大学小编@OWEN的回答:
这个话题也是之前的文章《知矿大学问答:怎么计算比特币挖矿的理论产出?》里提到的问题。
比特币的挖矿机制是工作量证明,所以聚合了众多矿工算力的矿池,是根据工作量证明给矿工分配收益的。根据算力大小,按劳分配是矿池给矿工结算收益的基础框架。
在此框架下,矿池有多种结算方式。目前比特币矿池主要的结算方式为FPPS和PPS+。除此之外,此前PPS、PPLNS等也曾是行业主流的分配方式。下面,我们来逐一介绍。
在矿池发展的初期,矿池间的竞争还不充分,再加上当时矿工费占比低,所以当时的结算方式主要为PPS和PPLNS。这两种结算方式只给矿工分配系统奖励,不分配交易手续费,具体的分配方式略有不同。
分析 | 1月全球区块链私募融资额环比下降八成:据互链脉搏研究院统计数据显示,2020年1月,全球区块链领域共斩获32笔融资,融资金额约为7.05亿元,环比下滑了78.8%。尤其是中国市场,区块链投融资热度降至历史最低点。在1月份的32笔融资事件中,国内融资项目仅只有5笔,融资金额约0.8亿元,环比下降了52.1%。
吸金能力最强的美国区块链投融资市场同样出现大幅降温。2020年1月,美国市场共有9起融资事件,融资金额约为2.23亿元,环比下滑了92.8%。
从融资项目轮次来看,四成左右项目都在A轮及以前,其中种子/天使轮项目最多,占比为25%。其次是战略投资和并购项目,二者占比分别为34%和25%,基本没有B轮及以后的项目,整个投融资市场尚处于早期阶段。[2020/2/5]
01?PPS结算方式
行情 | 美股区块链概念股涨跌参半:今日美股开盘,三大股指全线高开,美股区块链概念股涨跌参半。柯达下跌0.40%,埃森哲上涨0.03%,overstock.com上涨0.09%,Riot Blockchain上涨1.75%,Marathon Patent下跌1.23%,Square下跌0.18%。[2019/10/22]
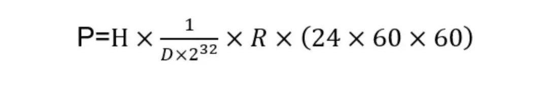
PPS即PayPerShare,根据矿工提交的有效工作量来结算收益。具体的计算方式在之前的推文《知矿大学问答:怎么计算比特币挖矿的理论产出?》中介绍过:

声音 | 互金协会秘书长:区块链等科技的发展与产业革命方兴未艾:据华夏时报报道,互金协会秘书长陆书春在第六届财经中国V论坛上表示,创新是未来永恒的主题,新一轮科技革命,如云计算、大数据、区块链、5G,科技的发展与产业革命方兴未艾。金融科技作为金融和科技的融合所带来的金融效率和降低成本,以及增强风控能力等方方面面的效果得到的广泛的认可,也日益成为各国以及各地区在金融创新方面竞争逐利的着力点。[2019/8/22]
其中,P为矿工一天的理论收益,H为矿工的算力,D为挖矿难度,R为系统奖励。
选择PPS结算的矿工,他们与矿池的关系相当于打工者与公司的关系,矿工的收益不受矿池幸运值波动的影响。不管矿池幸运值如何,PPS结算方式下,只要矿工算力、挖矿难度、系统奖励确定了,矿工的收益就是确定的,拿稳定的“工资”。
动态 | 俄罗斯加密货币和区块链协会以及列宁格勒工商会签署区块链合作协议 建立监管沙盒:RACIB和列宁格勒州立大学正计划建立一个监管金融科技沙箱。 列宁格勒州立大学,俄罗斯加密货币和区块链协会(RACIB)以及列宁格勒工商会签署了区块链合作协议,该协议允许该地区成为俄罗斯的“加密货币首都”。 该文件的主要目标是使列宁格勒地区成为监管沙箱。 这将使初创企业能够体现他们的想法,而不会有违反金融立法的风险。[2018/7/3]
我们对幸运值做一个介绍。假设某彩票池,一共有1000张彩票,其中有100张能中奖,每张彩票中奖金额都一样;其余900张是不能中奖的彩票,中奖率为10%。如果你有100张彩票,开奖后发现刚好有10张彩票中奖了,实际中奖率刚好等于理论概率,你的幸运值就是100%。如果实际中奖率高于数学概率,比如有12张彩票中奖了,那么你的幸运值就是120%;如果实际中奖率低于数学期望,比如有9张彩票中奖,那么你的幸运值就是90%。
金色财经现场报道 Ian Grigg在EOS.io香港见面会上称区块链能够解决黑天鹅事件:金色财经现场报道,4月6日晚间,备受瞩目的EOS.io香港见面会如期举办,EOS团队Block.one核心成员出席此次活动Ian Grigg在会上发表演讲,他表示,有一些风险我们认为他们很少发生,然而一旦发生就会很致命,这些事件称之为黑天鹅事件。这些事件对一般人而言风险是很大的,而区块链能够解决黑天鹅事件。[2018/4/6]
简单来说,一个矿池的幸运值等于实际得到的系统奖励/理论的系统奖励*100%。
02??PPLNS模式
PPLNS即PayPerLastNShare,根据过去提交的N个工作量来结算收益。这种结算方式有一定的滞后性。矿池在总共接受N个share后,统计这段时间内,矿池一共得到了多少系统奖励的比特币,然后根据矿工提交share数在这N个share中的占比来分配收益。
PPLNS结算方式下,矿工与矿池的关系相当于“公司合伙人与公司”的关系。矿池幸运值高,矿工的收益就高;如果矿池幸运值低,一天都不出块,矿工就没有收益。
假设矿池以PPLNS方式给矿工结算收益,该矿池当天得到125比特币的系统奖励,当天矿工A贡献了10%的share,那么矿池将给矿工A分配12.5比特币的收益。当然矿池给矿工服务,要收服务费的,这里我们不考虑服务费。
随着矿池之间竞争的加剧,矿池希望吸引更多算力接入。矿池不仅将系统奖励分配给矿工,矿工费也分配给矿工。打包手续费的结算方式也有不同,因此演化出了PPS+和FPPS的结算方式。
03??PPS+
PPS+即PayPerSharePlus,这种结算方式,系统奖励部分与前面介绍的PPS是一样的,矿池每天得到的矿工费则按照实际算力占比来分配。
举例说明,假设矿池以PPS+的方式给矿工结算收益。系统奖励部分,矿工A一天的理论收益10BTC,矿工A算力占该矿池10%的算力,该矿池当天得到所有矿工费为2BTC,那么在忽略矿池费率的情况下,当天矿池要给矿工A分配:10BTC+2*10%BTC=10.2BTC。
也就是说,PPS+的结算方式,系统奖励不受矿池幸运值的影响,而矿工费的部分与矿池收到的总矿工费相关,而矿池的矿工费受其幸运值的影响。幸运值越高,打包交易一般也更多,收到的手续费一般也更多。如果矿池一天没出块,矿工也就分不到矿工费了。
04??FPPS
FPPS即FullPayPerShare,意思是不管是系统奖励还是矿工费都按照理论值结算。
举例说明,假设矿池以FPPS的方式给矿工结算收益。系统奖励部分,矿工A一天的理论收益为10BTC。当天全网的矿工费与系统奖励比值为1.5%,忽略矿池费率的情况下,矿池要给矿工A分配:10*=10.15BTC。
FPPS结算模式下,矿工收益与矿池幸运值波动完全没有关系。
05??SOLO
除了上面提到的四种结算方式,还有一种方式是SOLO,即矿工独立挖矿。这种方式相当于矿池给矿工提供技术,矿工支付服务费给矿池,矿工自负盈亏。只有算力体量足够大的矿工才会选择这种模式。如果把矿池看作一个整体,矿池本身就是SOLO模式。SOLO模式意味着矿工独自承担幸运值波动的风险。
SOLO模式下,矿工相当于一个独立的矿池,其收益与提供技术的矿池的幸运值波动完全没有关系。
各种结算方式的差异,要么体现系统奖励部分,要么体现在矿工费上,要么两部分都有不同,下面是对各结算方式特点的总结:

▲不同结算方式对比
06??总结
随着矿池之间竞争的加剧,矿池结算方式也越来越精细化,只结算区块奖励的PPS、PPLNS逐渐演变成结算区块奖励和矿工费PPS+和FPPS,这两种结算方式是比特币矿池目前主流的结算方式。
如果你是矿工,你会选择哪种收益结算方式?欢迎在留言区分享你的观点。
2020年,注定是魔幻的一年。就在刚经历了史无前例的“负油价”之后,4月21日,我们又见证了一笔价值1.75亿人民币的“黑客退款”.
1900/1/1 0:00:00区块链的本质不是历史记录不可删除的。估计很多人会反对这句话,但我们先看一下案例。比特币并不是不可删除的,白皮书“第7章:回收磁盘空间”明确写了,比特币的历史交易是可以丢弃的.
1900/1/1 0:00:00来源:头等仓编者注:原标题为《头等仓研报:四月份DeFi重大进展总结》四月DeFi的焦点非dForce莫属,先是4月15日dForce基金会宣布获得150万美元的战略融资,但随后不到一周.
1900/1/1 0:00:00作者:罗滔2020年1月发布的欧盟第五反指令震动了欧洲加密货币行业。荷兰则在新规基础上施加了更严格的解释,加大了加密货币公司的合规压力,小规模企业的挤出效应凸显.
1900/1/1 0:00:00距离市值最大的加密货币比特币的区块奖励减半只有不到三周的时间,加密媒体Cointelegraph发文对加密矿工的态度以及减半后的价格走势进行了分析.
1900/1/1 0:00:00还有不到10天,比特币的奖励将减半,而在2020年5月3日,比特币算力暴涨,标志着挖矿的狂热达到了空前的高度。矿工将希望在近期出现一轮牛市,以保证其盈利能力.
1900/1/1 0:00:00