RICS



则R1CS成立。
TransitionintoPolynomial(efficiency)
Prepare

Definepolynomial

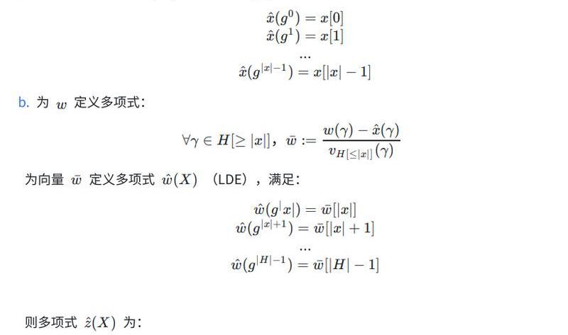
2.为向量z=(x,w)定义多项式

Binance:良好的税收政策应使用特定于加密的框架以及提供精确的指南:金色财经报道,Binance发布关于加密税收政策的文章,列出为加密资产行业制定良好税收政策的一般原则包括:引入特定于加密货币的框架 、提供详细且技术上精确的规则或指南、征税并引入与类似行业(如金融和科技)的一致而非更复杂的加密货币报告义务、对已实现的资本收益征收特权税而非交易税、推行有吸引力的政策。[2023/2/23 12:25:10]
3.为矩阵A,B,C定义多项式?
为了减小verifier计算的复杂度,这里用了一个特殊的形式来表示矩阵,以上述示例的矩阵A为例:


Linearitycheck



Web3游戏项目Pixelmon募集7000万美元后成立新领导团队和路线图:金色财经报道,Web3游戏项目Pixelmon此前通过出售NFT募集到7000万美元资金,现在这个基于以太坊的项目宣布成立一个新的领导团队和路线图,将此前的2D版本NFT转型为3D藏品,而且将其纳入到即将推出的 Pixelmon 在线游戏以及其他元宇宙游戏中。此外,支持NFT项目的Web3风投工作室LiquidX也已收购了Pixelmon项目60%的股份,LiquidX 联合创始人 Giulio Xiloyannis 将担任 Pixelmon 的首席执行官,它将推动Pixelmon在2022年底推出alpha测试版本可玩游戏并在2023年一季度启动alpha测试,正式发布预计在2023年底。(decrypt)[2022/9/27 22:32:05]
可以看出,当多项式t(X)取遍H值时,满足:

同样,也可以从公式推导:


AHPforR1CS
Common

传三箭资本债权人首次会议将决定是否另聘一名清算人和召集债权人委员会:7月14日消息,自称为三箭资本债权人之一的Soldman Gachs在推特上透露,三箭资本债权人第一次会议将于北京时间7月18日22:00(英属维尔京群岛时间7月18日10:00)召开,会上将提出的决议包括是否另聘一名清算人(是否与当前的清算人存在利益冲突?),以及是否召集债权人委员会。[2022/7/14 2:12:37]
Prover
=>Prover

=>Oracle

=>Prover?-sumcheck-1

=>Oracle

=>Prover-?sumcheck-1

Terra生态非托管钱包Leap已上线Terra2.0代币:5月30日消息,Terra生态非托管钱包Leap已上线Terra2.0代币,用户可查看空投的LUNA余额(流动部分和处于持续释放状态的部分)、发送和接收资产、查看交易历史、查看自定义代币余额和NFT,接下来将进一步扩展钱包内的质押和交易功能。[2022/5/30 3:50:05]
=>Prover-?sumcheck-2

=>Oracle

=>Prover-?sumcheck-2

=>Prover-?sumcheck-3

=>Oracle

吴昌硕文化艺术基金会推出数字藏品:金色财经报道,据上海市吴昌硕文化艺术基金会官方公众号,上海市吴昌硕文化艺术基金会策划推出“吴昌硕传世名作数字特展”,并将海派巨擘吴昌硕的8件传世绘画和6件传世印章制作成数字藏品发行,全面展现了海派巨擘吴昌硕“诗、书、画、印”四绝的艺术造诣,限量发行28000份。目前所有数字藏品均已售罄,销售额达358.4万元。[2022/5/29 3:48:57]
=>Prover-?sumcheck-3

Verifier
=>Verifier-sumcheck-3

=>Verifier-sumcheck-2
Recalltheequality

=>Verifier-sumcheck-1
Recalltheequality

=>Verifier

Polynomialcommitment?
协议总共进行了三轮交互,每轮交互承诺的多项式,以及query的点如下:

Optimization
Sum(s(X))=0
生成随机多项式:

Reducesumcheck?
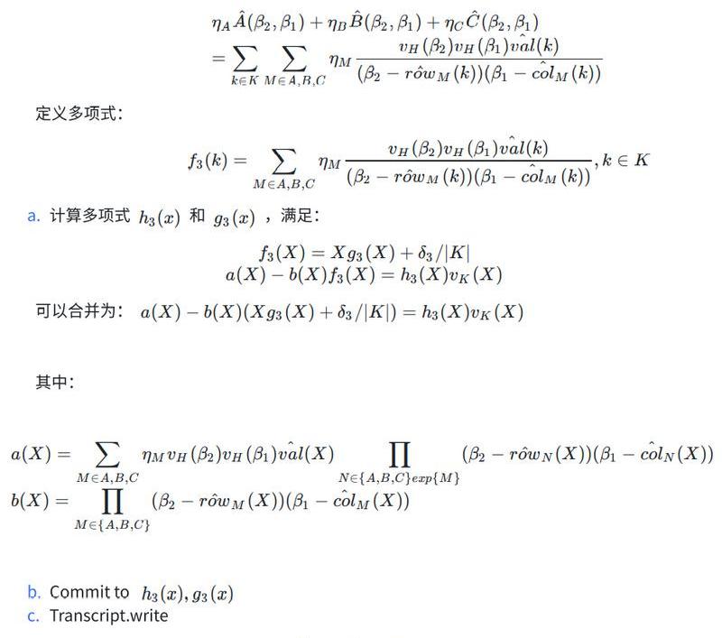
根据COS20.Claim6.7论?提到的优化,我们令:

Common

Prover




Verifier

ReducepolynomialnumbersforSumcheck-2?
对三个矩阵的现行校验,压缩成对一个矩阵的校验,即:

对这个多项式进行稀疏矩阵的表示。?
矩阵多项式,从9个缩减为3个。?
Setb=1?
令b=1
FinalProcotol?
Marlininarkworks
参考
1.arkworksformarlin:https://github.com/arkworks-rs/marlin/blob/master/diagram/diagram.pdf
2.Marlin:https://eprint.iacr.org/2019/1047.pdf
3.COS20.Claim6.7(Fractal):https://eprint.iacr.org/2019/1076.pdf
4.paper5.2.1:https://eprint.iacr.org/2019/1047.pdf
关于我们
Sin7y成立于2021年,由顶尖的区块链开发者和密码学工程师组成。我们既是项目孵化器也是区块链技术研究团队,探索EVM、Layer2、跨链、隐私计算、自主支付解决方案等最重要和最前沿的技术。
微信公众号:Sin7y
GitHub:Sin7y
Twitter:@Sin7y_Labs
Medium:Sin7y
Mirror:Sin7y
HackMD:Sin7y
HackerNoon:Sin7y
Email:contact@sin7y.org
来源:金色财经
Sept.2022,ThiagoFreitasDataSource:dYdX&GMX$GainsNetworkComparison在金融系统中,永续期货合约,也被称为永续合约.
1900/1/1 0:00:00美联储准备了一项通胀举措,这可能会成为加密货币和风险资产的“大锤”。自7月以来的最低周收盘价之后,比特币(?BTC?)又面临一周的“巨大”宏观公告.
1900/1/1 0:00:00最近,关于高度去中心化的DAO行不通的观点有很多讨论,DAO治理应该开始更接近于传统公司的治理为了保持竞争力.
1900/1/1 0:00:009.23比特币行情解析大饼昨日触底反弹后走出震荡上行走势,晚间小幅回落空单点位好的小赚出局,早间行情延续多头走势高位至19500一线未能突破,四小时走出两次探底结构趋势.
1900/1/1 0:00:00金色财经报道?区块链9月23日讯?Layer1区块链公司Zilliqa宣布推出Web3Console游戏机,这款设备支持基于Zilliqa协议的游戏、Web3钱包和挖矿APP.
1900/1/1 0:00:00可创给艺术栖息之地可创CreateSea为艺术家们提供了一个平台去呈现他们的作品,也为观众提供了平台去享受艺术家们的创作.
1900/1/1 0:00:00